Alignment/Ride Height
Front
NOTE:
All figures are with vehicle at 'Showroom' ride height - full fluids, full tank of fuel, no occupants/luggage, tires inflated to normal pressures
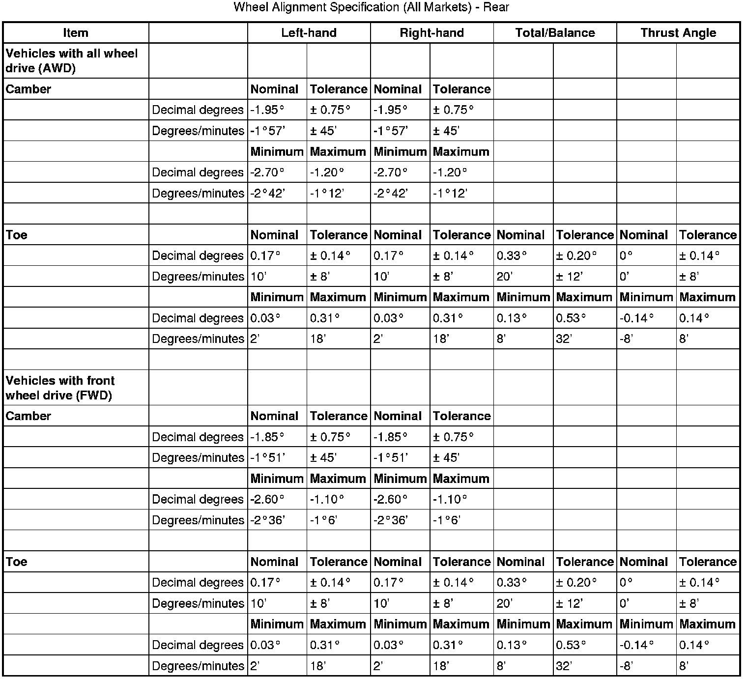
Rear
NOTE:
All figures are with vehicle at 'Showroom' ride height - full fluids, full tank of fuel, no occupants/luggage, tires inflated to normal pressures
NOTE:
All figures are with vehicle at 'Kerbside' (curbside) ride height - full fluids, full tank of fuel, no occupants/luggage, tires inflated to normal pressures
Ride Height
NOTE:
Ride height is measured vertically from wheel center to underside of wheel arch