Operation CHARM: Car repair manuals for everyone.
Manuals through 2025 now available!

Our trusted friends have launched a new website named LEMON, which has newer manuals. It also contains all the CHARM manuals.

LEMON is the spiritual successor to CHARM, I recommend you try it!

Link: lemon-manuals.la or lemon-manuals.org.ua

(Some people have issue connecting. LEMON is investigating. For now, use Firefox or change your DNS server)

Or, hide this message: temporarily or permanently

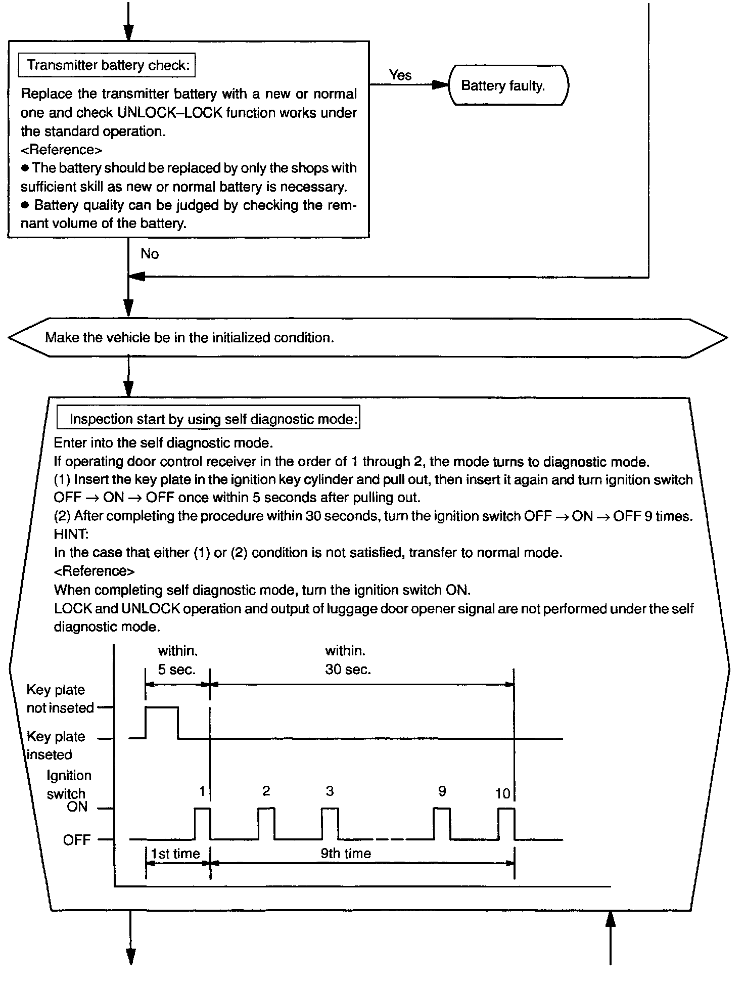
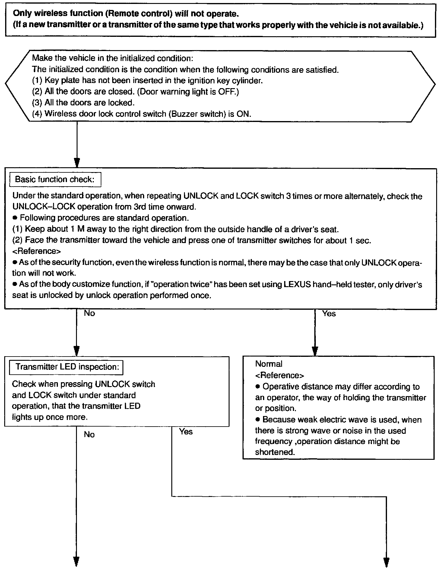
Initial Inspection and Diagnostic Overview

Part 1 Of 5:




Part 2 Of 5:




Part 3 Of 5:




Part 4 Of 5:




Part 5 Of 5:






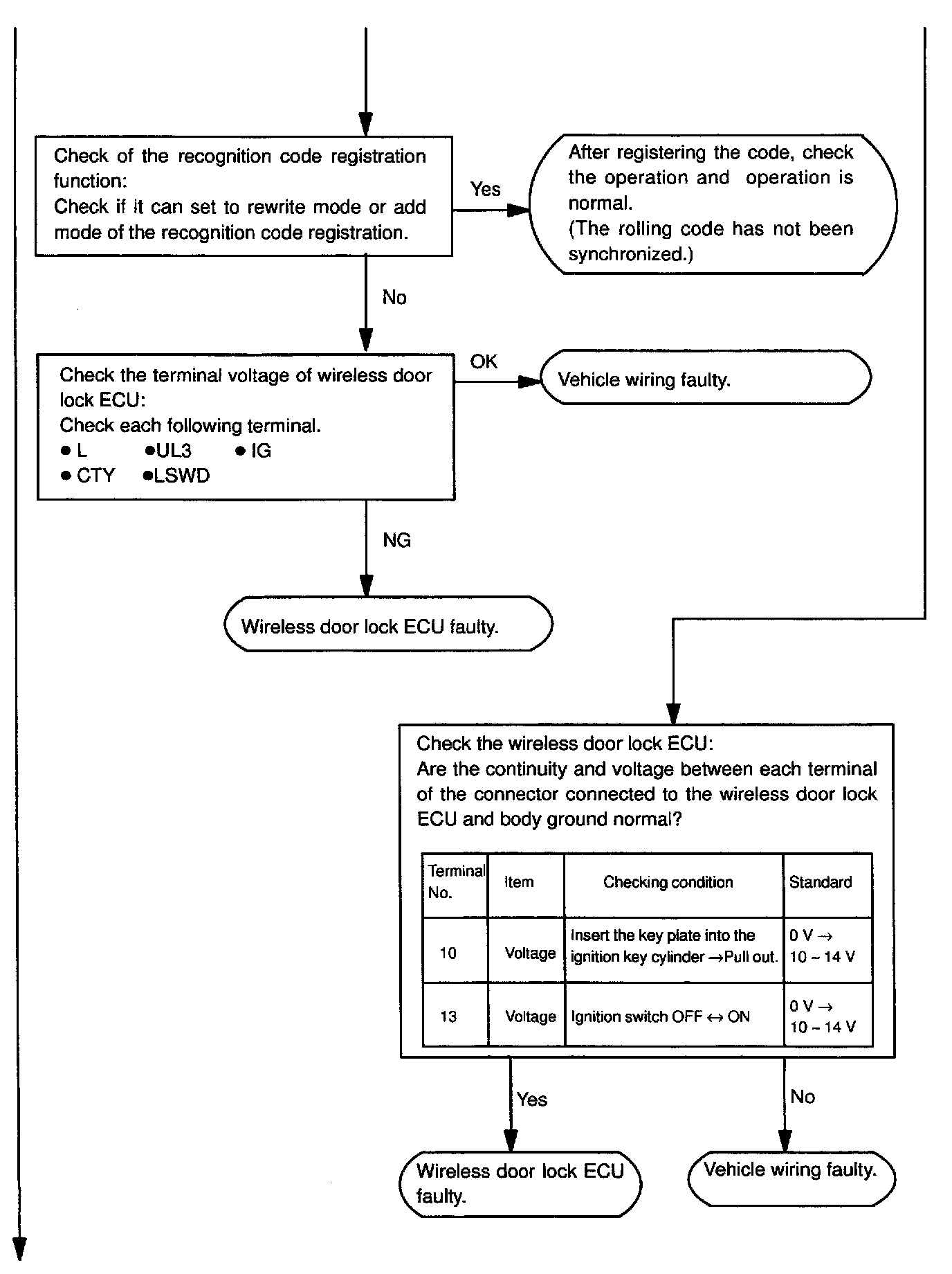
HINT: The rolling code is the code changing at each time when the wave is transmitted from the transmitter and changing when the wave is synchronized between transmitter side and ECU side.
When the rolling code is not synchronized between the transmitter and ECU, a symptom of "Only LOCK operation is available." appears.
In this case, it goes back to normal by synchronizing the rolling code.
(The method to synchronize it is the same as of the registration of the recognition code.)