Operation CHARM: Car repair manuals for everyone.
Manuals through 2025 now available!

Our trusted friends have launched a new website named LEMON, which has newer manuals. It also contains all the CHARM manuals.

LEMON is the spiritual successor to CHARM, I recommend you try it!

Link: lemon-manuals.la or lemon-manuals.org.ua

(Some people have issue connecting. LEMON is investigating. For now, use Firefox or change your DNS server)

Or, hide this message: temporarily or permanently

Registration

REGISTRATION

HINT:
- Recognition code registration is necessary when replacing the door control transmitter or the door control receiver. The key has 2 codes: the key code (immobilizer code) and wireless code. All of these code types need to be registered. Refer to "ENGINE IMMOBILIZER SYSTEM (W/O SMART KEY SYSTEM)" for the key code (immobilizer code) registration procedures.
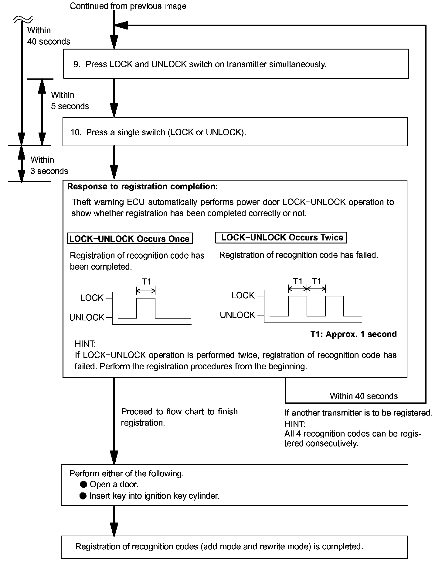
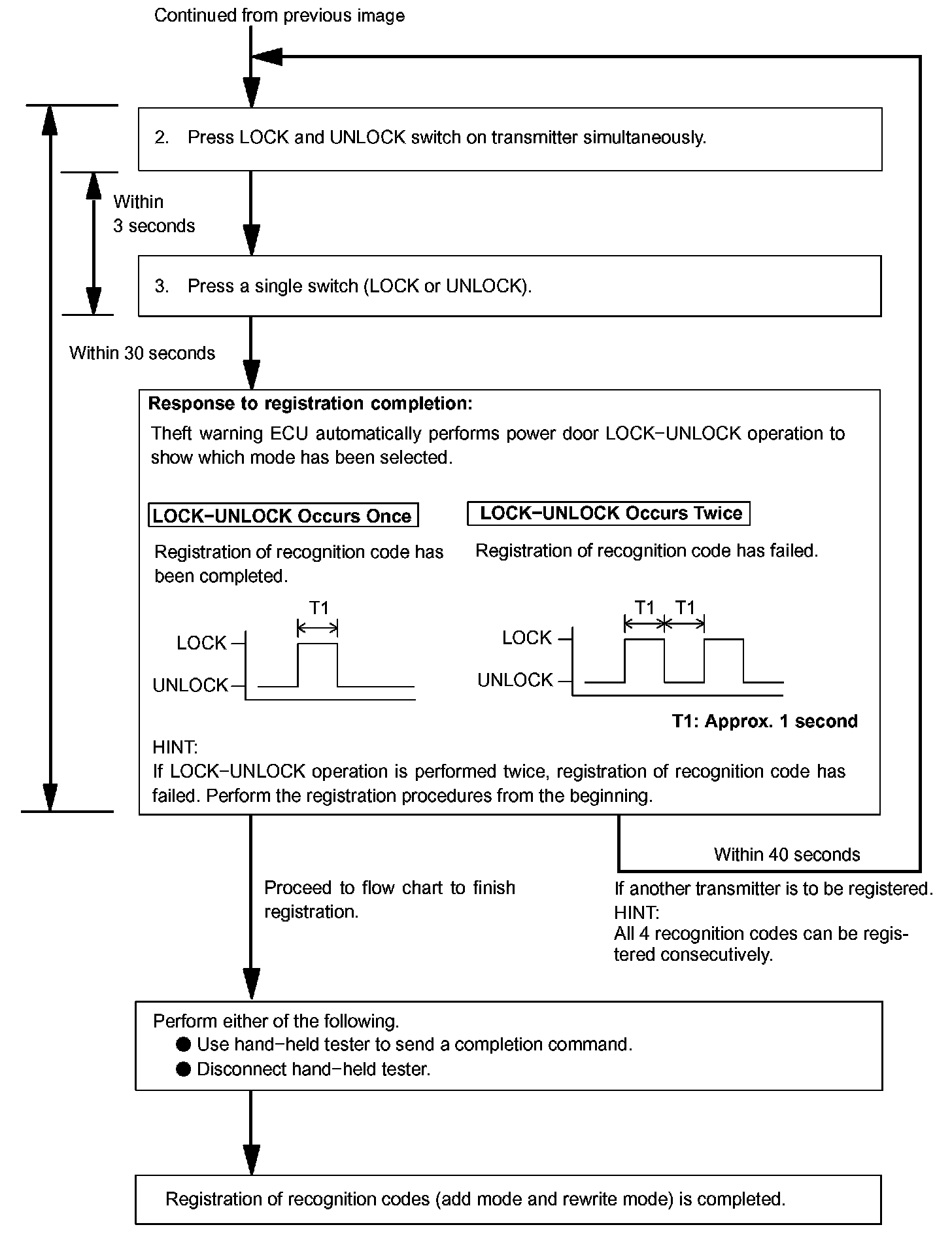
- Add mode is used to register new recognition codes while still retaining codes already registered. This mode is used when a new transmitter is added. If the number of registered codes exceeds 4, the previously registered codes will be erased, starting from the first registered code.
- Rewrite mode is used to erase all the previously registered recognition codes in order to register all-new recognition codes. This mode is used when the transmitter or the door control receiver is replaced.
- Confirmation mode is used to confirm how many recognition codes have already been registered before another recognition code is registered.
- Prohibition mode is used to erase all the registered codes and disable the wireless door lock function. This mode is used when the transmitter is lost.
- All of the following registration procedures must be performed in order.

1. REGISTER RECOGNITION CODE
When using the hand-held tester.

Part 1:




Part 2:






2. REGISTER RECOGNITION CODE
When not using the hand-held tester

Part 1:




Part 2:




Part 3:




Part 4: