Operation CHARM: Car repair manuals for everyone.
Manuals through 2025 now available!

Our trusted friends have launched a new website named LEMON, which has newer manuals. It also contains all the CHARM manuals.

LEMON is the spiritual successor to CHARM, I recommend you try it!

Link: lemon-manuals.la or lemon-manuals.org.ua

(Some people have issue connecting. LEMON is investigating. For now, use Firefox or change your DNS server)

Or, hide this message: temporarily or permanently

Wheel Aligment Standard

WHEEL ALIGNMENT STANDARD

a. FRONT WHEEL ALIGNMENT (USA, Canada)

1. Standard vehicle height (unloaded vehicle):







2. Standard Camber Inclination (Unloaded):










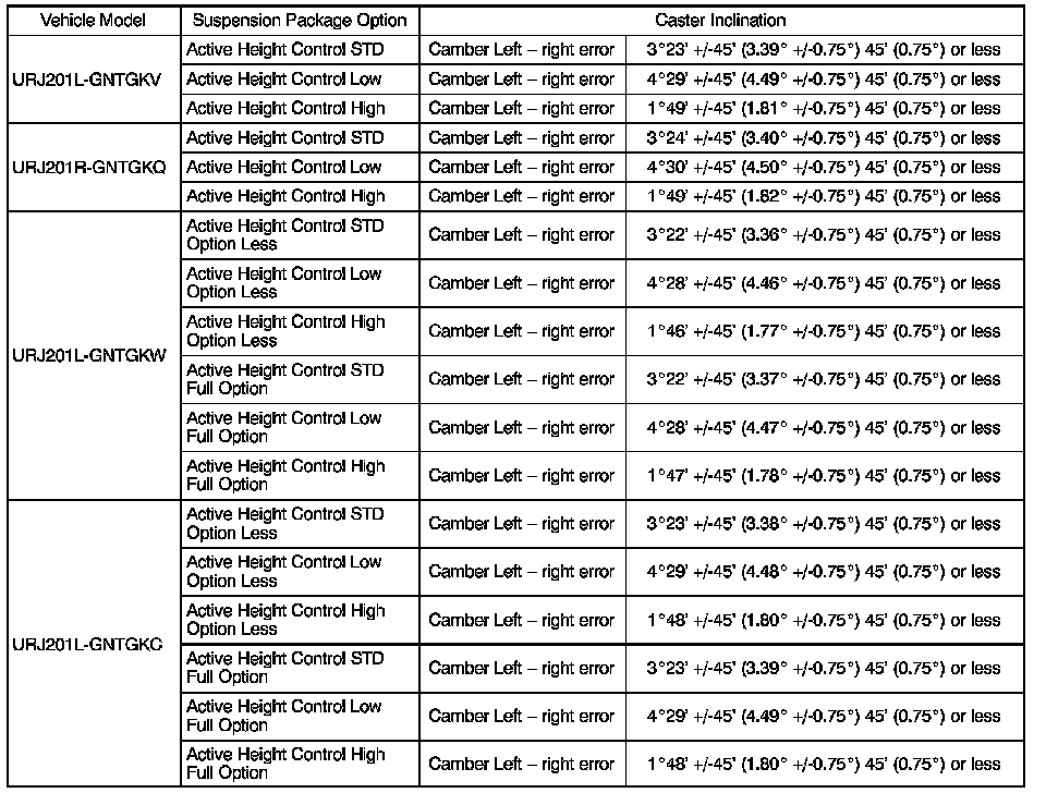
3. Standard Caster Inclination (Unloaded):







4. Standard Steering Axis Inclination (Unloaded Vehicle):







HINT: The steering axis inclination is a reference value.

5. Standard toe in (unloaded vehicle):










HINT: The toe-in can be measured using either A + B or C - D.

6. Standard wheel turning angle (Unloaded vehicle):










b. FRONT WHEEL ALIGNMENT (Except USA, Canada)


1. Standard vehicle height (unloaded vehicle):










2. Standard camber inclination (unloaded):










3. Standard caster inclination (unloaded):







4. Standard steering axis inclination (unloaded vehicle):







HINT: The steering axis inclination is a reference value.

5. Standard toe-in (unloaded vehicle):










6. Standard wheel turning angle (unloaded vehicle):