Operation CHARM: Car repair manuals for everyone.
Manuals through 2025 now available!

Our trusted friends have launched a new website named LEMON, which has newer manuals. It also contains all the CHARM manuals.

LEMON is the spiritual successor to CHARM, I recommend you try it!

Link: lemon-manuals.la or lemon-manuals.org.ua

(Some people have issue connecting. LEMON is investigating. For now, use Firefox or change your DNS server)

Or, hide this message: temporarily or permanently

Part 3





1UR-FE ENGINE CONTROL: SFI SYSTEM: DATA LIST / ACTIVE TEST





HINT
* Usually, the value of AFS Voltage changes to below 3.1 V when the control value for Control the Injection Volume is changed to +12%.
* Usually, the value of AFS Voltage changes to 3.4 V or higher when the control value for Control the Injection Volume is changed to -12%.
* Usually, the value of O2S changes to 0.55 V or higher when the control value for Control the Injection Volume is changed to +12%.
* Usually, the value of O2S changes to below 0.4 V when the control value for Control the Injection Volume is changed to -12%.

*4: Control the ETCS Open/Close Fast Speed [Active Test for electrical throttle control system] (Engine switch on (IG))





HINT
* Usually, Throttle Position Command (Target Value) and Throttle Position No. 1 (Actual Value) are almost the same.
* If any DTCs related to the ETCS are stored, this Active Test does not function.





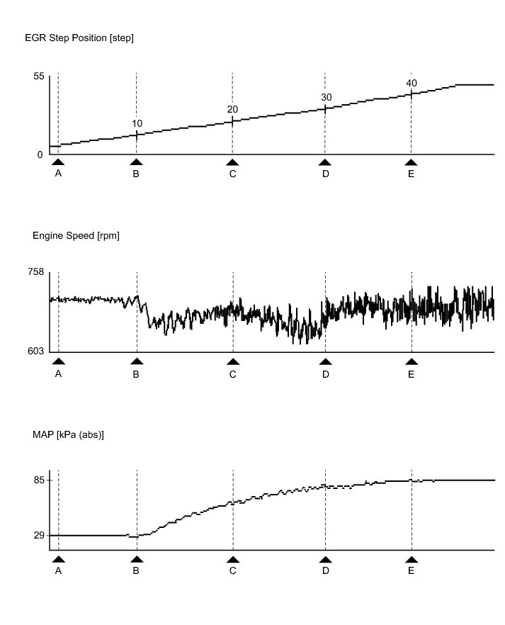
*5: Control the EGR Step Position (Idling after warming up, A/C off)









HINT
* Usually, when the control value for Control the EGR Step Position is "0 step", the value of MAP is between 20 and 40 kPa and idling is stable.
* Usually, when the control value for Control the EGR Step Position is changed from "0 step" to "30 step", the value of MAP increases to a value at least 10 kPa higher than the value of MAP when the control value for Control the EGR Step Position was "0 step", and the engine idles roughly or stalls.
* This data is taken from an Active Test in which the step position was raised in increments of 1. The EGR valve inspection in the troubleshooting procedures checks the operation of the valve by stalling the engine and raises the step position in increments of 5.

*6: Activate the VSV for EVAP Control (Idling after warming up)





HINT
Even when the Active Test is turned on (the purge VSV is opened 30%), air-fuel ratio feedback continues and control is performed so that the air-fuel ratio is the stoichiometric ratio. Therefore, by observing the change in "Short FT", it is possible to determine whether the purge VSV is actually open as well as the concentration of HC in the purge gas.





*7: Control the VVT Linear (Bank 1)









HINT
* *: Change the control value for Control the VVT Linear to +30% or -30% in increments of 5%.
* The Control the VVT Linear Active Test considers the value of VVT Aim Angle to be 0 and raises or lowers the duty ratio with respect to VVT Aim Angle.
* The sum of the control value for the Control the VVT Linear Active Test and the value of VVT Aim Angle is approximately equal to the value of VVT OCV Duty.
* When the control value for the Control the VVT Linear Active Test is changed a few times, there should not be a large discrepancy between VVT OCV Duty when the system starts advancing or retarding the timing and the rate of change of VVT Change Angle.

*8: Control the VVT Exhaust Linear (Bank 1)









HINT
* *: Change the control value for Control the VVT Exhaust Linear to +30% or -30% in increments of 5%.
* The Control the VVT Exhaust Linear Active Test considers the value of VVT Ex Hold Lrn Val to be 0 and raises or lowers the duty ratio with respect to VVT Ex Hold Lrn Val.
* The sum of the control value for the Control the VVT Exhaust Linear Active Test and the value of VVT Ex Hold Lrn Val is approximately equal to the value of VVT Ex OCV Duty.
* When the control value for the Control the VVT Exhaust Linear Active Test is changed a few times, there should not be a large discrepancy between VVT Ex OCV Duty when the system starts advancing or retarding the timing and the rate of change of VVT Ex Chg Angle.

23. SYSTEM CHECK

HINT
Performing a System Check enables the system, which consists of multiple actuators, to be operated without removing any parts. In addition, it can show whether or not any DTCs are stored, and can detect potential malfunctions in the system. The System Check can be performed with the Techstream.

(a) Connect the Techstream to the DLC3.

(b) Turn the engine switch on (IG).

(c) Turn the Techstream on.

(d) Enter the following menus: Powertrain / Engine and ECT / Utility.

(e) Perform the System Check by referring to the table below.