Operation CHARM: Car repair manuals for everyone.
Manuals through 2025 now available!

Our trusted friends have launched a new website named LEMON, which has newer manuals. It also contains all the CHARM manuals.

LEMON is the spiritual successor to CHARM, I recommend you try it!

Link: lemon-manuals.la or lemon-manuals.org.ua

(Some people have issue connecting. LEMON is investigating. For now, use Firefox or change your DNS server)

Or, hide this message: temporarily or permanently

A/T - 5R55S Harsh Shifting

Article No.
03-15-8

08/04/03

TRANSMISSION - 5R55S - HARSH SHIFTS - VEHICLES
BUILT BETWEEN 11/18/2002 AND 5/17/2003 ONLY

FORD:
2003 THUNDERBIRD

LINCOLN:
2003 LS

ISSUE
Some 2003 vehicles built between 11/18/2002 and 05/17/2003 with the 5R55S transmission may exhibit harsh shifts.

ACTION
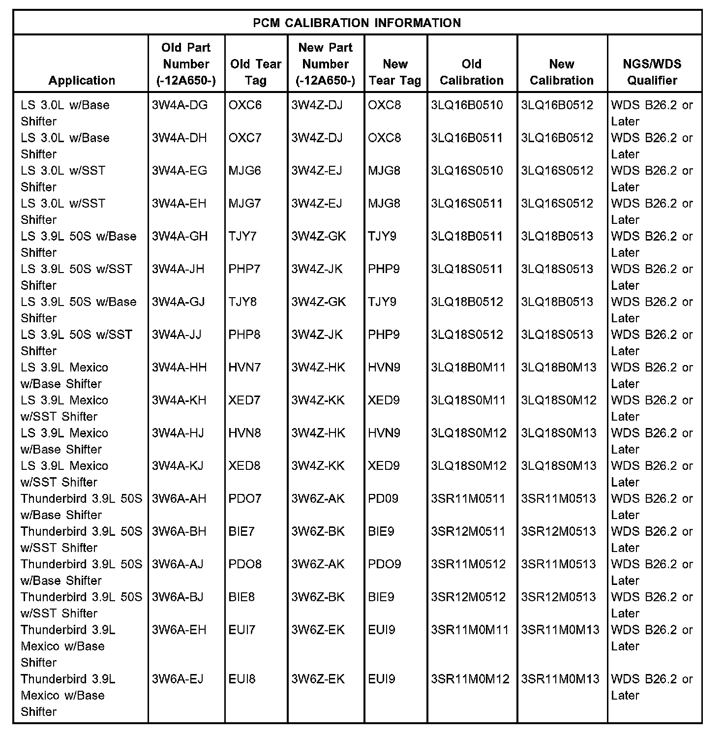
Follow normal diagnostic procedures and verify the condition. If the condition is valid, reprogram the PCM to the latest calibration level. If the condition is not corrected after reprogramming, continue with normal diagnostics to pinpoint the cause. Refer to the following Service Procedure for details.

SERVICE PROCEDURE





If the vehicle is built between 11/18/2002 and 05/17/2003 and has the conditions listed and does not have the latest PCM calibration, reprogram the PCM (refer to PCM chart). Vehicles built after 05/17/2003 are not affected by this TSB.

NOTE
STEPS 5-8 OF THIS PROCEDURE MUST BE PERFORMED IN ORDER FOR THE ENGAGEMENT PRESSURES TO PROPERLY ADAPT WITH THE NEW CALIBRATION.

1. Follow the procedures found in the Powertrain Control/Emissions Diagnosis (PC/ED) Service Manual and reprogram the PCM to latest calibration level.

2. After reprogramming has been completed, the transmission adaptive strategy for pressure control on engagements must be updated.

3. Install diagnostic equipment and monitor the Transmission Fluid Temperature (TFT).

4. Warm the transmission fluid to at least 130° F (54° C) as indicated by the TFT.

5. Perform five (5) engagements from Park to Reverse. Each engagement must be 5 seconds apart.

6. Perform five (5) engagements from Drive to Reverse. Each engagement must be 5 seconds apart.

7. Perform five (5) engagements from Reverse to Drive. Each engagement must be 5 seconds apart.

8. Perform five (5) engagements from Neutral to Drive. Each engagement must be 5 seconds apart.





Obtain an Authorized Modifications Decal (FPS 8262 - obtainable through DOES II, 25/pkg) and list the date, dealer number, and summary of modifications performed. Select a prominent place adjacent to the Vehicle Emission Control Information Decal suitable for installing the Authorized Modifications Decal. Clean the area, install the decal, and cover it with a clear plastic decal shield.

OTHER APPLICABLE ARTICLES: NONE
WARRANTY STATUS: Eligible Under The Provisions Of Bumper To Bumper Warranty Coverage

OPERATION DESCRIPTION TIME

031508A Reprogram Powertrain 1.0 Hr.
Control Module (PCM)
Then Update Transmission
Adaptive Strategy (Includes
Time For Final Test Drive)

DEALER CODING
CONDITION
BASIC PART NO. CODE
RECAL 42





Disclaimer