Operation CHARM: Car repair manuals for everyone.
Manuals through 2025 now available!

Our trusted friends have launched a new website named LEMON, which has newer manuals. It also contains all the CHARM manuals.

LEMON is the spiritual successor to CHARM, I recommend you try it!

Link: lemon-manuals.la or lemon-manuals.org.ua

(Some people have issue connecting. LEMON is investigating. For now, use Firefox or change your DNS server)

Or, hide this message: temporarily or permanently

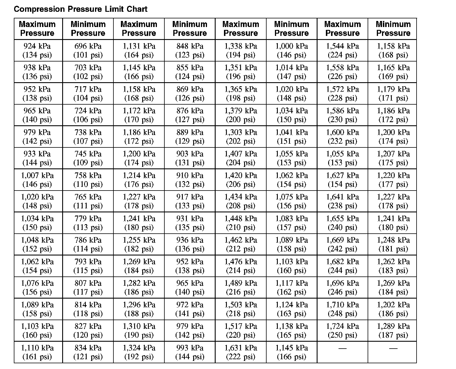
Compression Check

AllData Editors Note - Ford does not provide a cranking pressure specification, only an acceptable range.

Compression Test - Test Results
The indicated compression pressures are considered within specification if the lowest reading cylinder is at least 75% of the highest reading.

Compression Pressure Limit Chart: