Operation CHARM: Car repair manuals for everyone.
Manuals through 2025 now available!

Our trusted friends have launched a new website named LEMON, which has newer manuals. It also contains all the CHARM manuals.

LEMON is the spiritual successor to CHARM, I recommend you try it!

Link: lemon-manuals.la or lemon-manuals.org.ua

(Some people have issue connecting. LEMON is investigating. For now, use Firefox or change your DNS server)

Or, hide this message: temporarily or permanently

Differential Assembly: Adjustments




Ring Gear Backlash Adjustment









1. Remove the rear axle assembly. For additional information, refer to Axle Assembly .

2. Remove the 4 bolts retaining the torque arm to the rear axle housing.





3. Remove the 12 bolts and the differential housing cover.
- Drain the lubricant.






4. Using the Transmission Holding Fixture, mount the differential housing to a work bench.





5. Using the Dial Indicator Gauge with Holding Fixture and Clutch Housing Gauge, measure the differential ring gear backlash.
1. Attach the Dial Indicator Gauge with Holding Fixture.

2. Position the Clutch Housing Gauge tip centrally on a drive tooth.

3. Zero the Dial Indicator Gauge.

4. Turn the differential ring gear without turning the drive pinion gear. Record the Dial Indicator Gauge reading. The allowable backlash is mm (0.008 in) to 0.305 mm (0.012 in).
- To correct for a high or low backlash, proceed as follows.






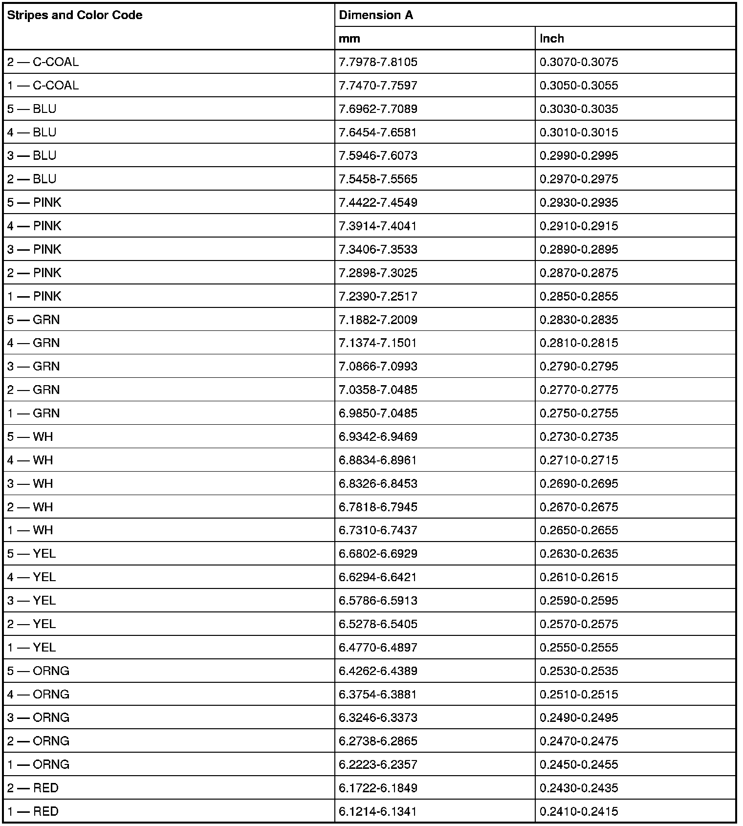
6. To correct for high or low backlash, increase the thickness of one differential bearing shim and decrease the thickness of the other differential bearing shim by the same amount. Refer to the following tables when adjusting the backlash.





Differential Shim Size Chart 4067





7. NOTICE: Mark the position and location of the differential bearing caps as the arrows may not be visible. Always install the differential bearing caps in their original locations and positions or damage to the component may occur.

Remove the 4 differential bearing cap bolts and the 2 bearing caps.
- Remove the differential assembly.


8. Measure the thickness of the selected right and left bearing shims.

9. NOTE: Differential bearing shims are to be installed with the chamfer facing outboard.

To establish differential bearing preload, using the Differential Shim Installer increase both the left and right differential bearing shim thickness by 0.152 mm (0.006 in).






10. Install the 2 bearing caps and 4 bolts.
- Tighten to 105 Nm (77 lb-ft).


11. Rotate the differential assembly several times to verify the differential bearings have seated correctly.





12. Using the Dial Indicator Gauge with Holding Fixture and Clutch Housing Gauge, recheck the differential ring gear backlash.





13. Apply marking compound and rotate the differential assembly 5 complete revolutions.

14. Verify an acceptable pattern check. For additional information, refer to Tooth Contact Pattern Check in Differential Assembly &/or Axle Shaft Assembly &/or Drive/Propeller Shafts, Bearings and Joints.

15. NOTE: The machined surfaces on the differential housing and the differential housing cover must be clean and free of oil before applying the new silicone sealant. Cover the inside of the axle before cleaning the machined surface to prevent contamination.

NOTE: Install the differential housing cover within 15 minutes of applying the silicone material.

NOTE: Allow the sealant to cure for one hour before filling the axle with lubricant

Apply a continuous bead of sealant, of the specified thickness, to the differential housing cover mounting surface.
- Use silicone gasket and sealant.






16. Install the differential housing cover and the 12 bolts.
- Tighten to 32 Nm (24 lb-ft).


17. Position the torque arm to the rear axle housing and install the 4 bolts in the following sequence:
- Tighten the 4 bolts to 203 Nm (150 lb-ft).

- Loosen the 4 bolts one revolution.

- Tighten the 4 bolts to 203 Nm (150 lb-ft).


18. Install the rear axle assembly. For additional information, refer to Axle Assembly .

19. Fill the axle assembly with the specified lubricant.