Manuals through 2025 now available!
Our trusted friends have launched a new website named LEMON, which has newer manuals. It also contains all the CHARM manuals.
LEMON is the spiritual successor to CHARM, I recommend you try it!
Link:
lemon-manuals.la or
lemon-manuals.org.ua
(Some people have issue connecting. LEMON is investigating. For now, use Firefox or change your DNS server)
Or, hide this message:
temporarily or
permanently
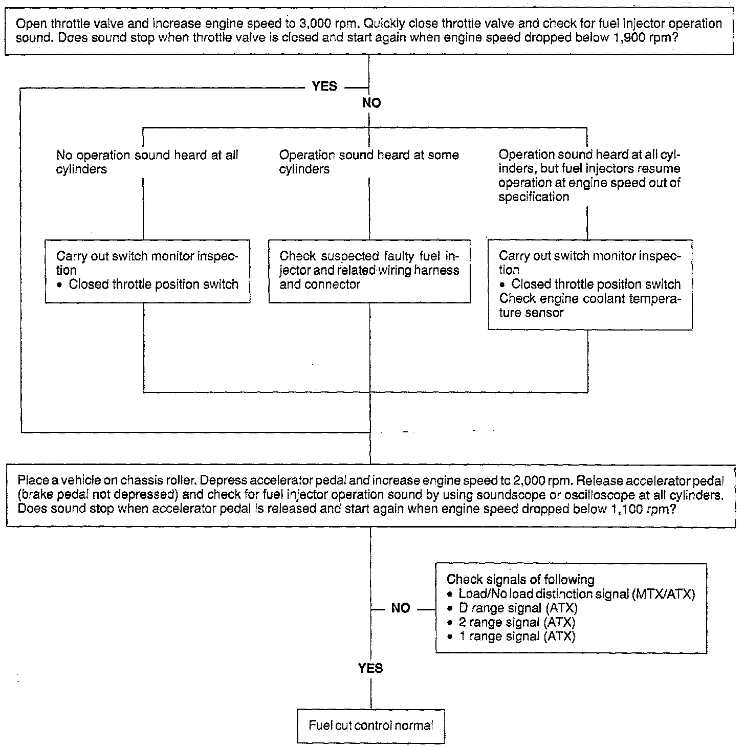
Fuel Cut Control System
Fuel Cut Control Inspection 1.
Warm up the engine to normal operating temperature.
2.
Turn off the A/C switch.
3.
Connect a tachometer to data link connector terminal IG-.
4.
Using a soundscope, listen for the
fuel injector operation sound at all cylinders.