Operation CHARM: Car repair manuals for everyone.
Manuals through 2025 now available!

Our trusted friends have launched a new website named LEMON, which has newer manuals. It also contains all the CHARM manuals.

LEMON is the spiritual successor to CHARM, I recommend you try it!

Link: lemon-manuals.la or lemon-manuals.org.ua

(Some people have issue connecting. LEMON is investigating. For now, use Firefox or change your DNS server)

Or, hide this message: temporarily or permanently

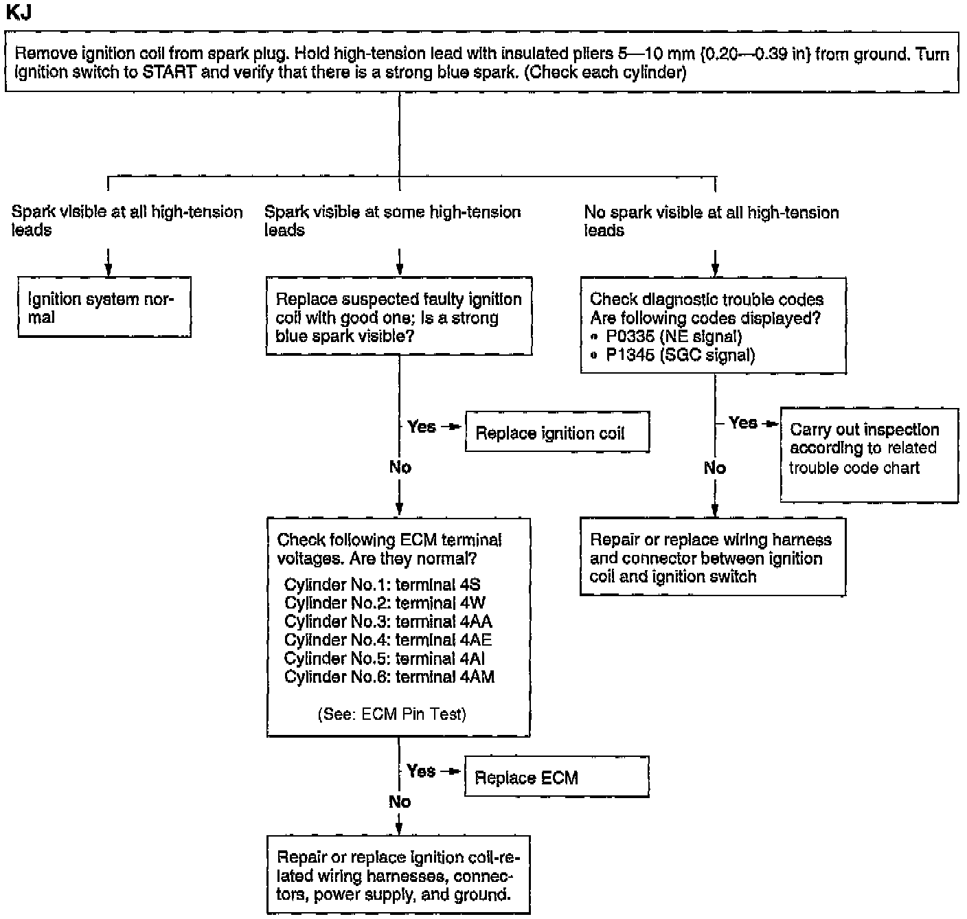
Flow of Diagnosis

WARNING: High voltage in the ignition system can cause strong electrical shock. Avoid direct contact to the vehicle body during the following spark test.

IGNITION SYSTEM INSPECTION
1. Remove the fuel pump relay from main fuse block.
2. Check condition of connectors and ignition coils.
3. Inspect the ignition system using the flow chart below as a guide.