Operation CHARM: Car repair manuals for everyone.
Manuals through 2025 now available!

Our trusted friends have launched a new website named LEMON, which has newer manuals. It also contains all the CHARM manuals.

LEMON is the spiritual successor to CHARM, I recommend you try it!

Link: lemon-manuals.la or lemon-manuals.org.ua

(Some people have issue connecting. LEMON is investigating. For now, use Firefox or change your DNS server)

Or, hide this message: temporarily or permanently

Input Signal System Diagnostic Procedures


1. Find an unusual signal (Refer to procedures below).
2. Located its source (Refer to procedures below).
3. Repair or replace the defective part.
4. Confirm that the unusual signal has been erased.

Finding Unusual Signals

While referring to the diagnostic trouble code inspection section of on-board diagnostic system, use the PID monitor to check the input signal system relating to the problem.
1. Turn the ignition ON and idle the vehicle. You can assume that any signals that are out of specifications by a wide margin are unusual.
2. When recreating the problem, any sudden change in monitor input signals that is not consciously created by the driver can be judged as unusual.

Locating The Source Of Unusual Signals

CAUTION:

- Compare the NGS Tester Monitor voltage with the measurement voltage using the NGS tester "DIGITAL MEASUREMENT SYSTEM" function. If you use another tester, misreading may occur.
- When the measuring voltage, attach the tester ground to the GND of the PCM that Is being tested, or to the engine Itself. if this Is not done, the measured voltage and actual voltage may differ.
- After connecting the pin to a waterproof coupler, confirming continuity and measuring the voltage, check the waterproof cord for cracks. if there are any, use sealant to fix them. Failure to do this may result In deterioration of the harness or terminal from water damage, leading to problems with the vehicle.

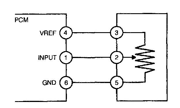
Valuable Resistance Type 1 (Throttle Position And Fuel Tank Pressure Sensors):





Valuable Resistance Type 1 (Throttle Position And Fuel Tank Pressure Sensors)

Investigate the input signal system

1. When you get an unusual signal, measure the #1 PCM terminal voltage.
(1) If the terminal voltage and the NGS tester monitor voltage are the same, proceed to the next step.
(2) If there is a difference of 0.5 V or more, check the following points concerning the PCM connector:
- Female terminal opening loose
- Coupler (pin holder) damage
- Pin discoloration (blackness)
- Harness/pin clamp is loose or disconnected
2. When you get an unusual signal, measure the #2 sensor terminal voltage.
(1) If there is a 0.5 V or more difference between the sensor and NGS tester voltages, check the harness for open or short circuits.
(2) If the sensor and NGS tester voltages are the same, check the following points concerning the sensor connector. If there are no problems, proceed to next investigation below:
- Female terminal opening loose
- Coupler (pin holder) damage
- Pin discoloration (blackness)
- Harness/pin clamp is loose or disconnected

Investigate the standard power supply system

1. Confirm that the #3 terminal is at 5 V.
(1) If the measured voltage on the #3 terminal is 5V, check the following points on the sensor connector. If there is no problem, proceed to next investigation below:
- Female terminal opening loose
- Coupler (pin holder) damage
- Pin discoloration (blackness)
(2) If the #3 terminal measures other than 5 V, check the following points:
- Open or short circuit in harness
- Harness/pin clamp is loose or disconnected

Investigate The GND System

1. Confirm that sensor terminal #5 is at 0 V.
(1) If it is at 0 V, inspect the sensor. If necessary, replace the sensor.
(2) If not, check the following points:
- Open or short circuit in harness
- Female terminal opening loose
- Coupler (pin holder) damage
- Harness/pin clamp is loose or disconnected





Variable Resistance Type 2 (Fuel Tank Level And Mass Air Flow Sensors)

Investigate The Input Signal System

1. When you get an unusual signal, measure the #1 PCM terminal voltage.
(1) If the #1 terminal voltage and the NGS tester monitor voltage are the same, proceed to the next step.
(2) If there is a difference of 0.5 V or more, check the following points concerning the PCM connector:
- Female terminal opening loose
- Coupler (pin holder) damage
- Pin discoloration (blackness)
- Harness/pin clamp is loose or disconnected
2. When you get an unusual signal, measure the #2 sensor terminal voltage.
(1) If there is a 0.5 V or more difference between the sensor and NGS tester voltages, check the harness for open or short circuits.
(2) If the sensor and NGS tester voltage are the same, check the following points concerning the sensor connector. If there are no problems, proceed to next investigation below:
- Female terminal opening loose
- Coupler (pin holder) damage
- Pin discoloration (blackness)
- Harness/pin clamp is loose or disconnected

Investigate The Electrical Supply System

1. Confirm that the sensor #3 terminal is B +.
(1) It the measured voltage on the #3 terminal is B+, check the following points on the sensor connector. If there is no problem, proceed to next investigation below:
- Female terminal opening loose
- Coupler (pin holder) damage
- Pin discoloration (blackness)
(2) It the #3 terminal measures other than 5V check following points:
- Open or short circuit in harness
- Harness/pin clamp is loose or disconnected

Investigate The GND System

2. Confirm the terminal sensor #4 is at 0 V.
(1) If it is at 0 V, inspect the sensor. If necessary, replace the sensor.
(2) If not at 0 V, check the following points:
- Open circuit in harness
- Female terminal opening loose
- Coupler (pin holder) damage
- Pin discoloration (blackness)
- Harness/pin clamp is loose or disconnected





Thermistor Type (Intake Air Temperature And Engine Coolant Temperature Sensors)

Investigate The Input Signal System

1. When you get an unusual signal, measure the #1 PCM terminal voltage.
(1) If the #1 terminal voltage and the NGS tester monitor voltage are the same, proceed to the next step.
(2) If there is a difference of 0.5 V or more, check the following points concerning the PCM connector:
- Female terminal opening loose
- Coupler (pin holder) damage
- Pin discoloration (blackness)
- Harness/pin clamp is loose or disconnected
2. When you get an unusual signal, measure the #2 sensor terminal voltage.
(1) If there is a 0.5 V or more difference between the sensor and NGS tester voltages, check the harness for open or short circuits.
(2) If the sensor and NGS tester voltage are the same, check the following points concerning the sensor connector. If there are no problems, proceed to next investigation below:
- Female terminal opening loose
- Coupler (pin holder) damage
- Pin discoloration (blackness)
- Harness/pin clamp is loose or disconnected

Investigate The GND System

1. Confirm that terminal sensor #3 is at 0 V.
(1) If it is at 0 V, inspect the sensor. If necessary, replace the sensor.
(2) If not at 0 V, check the following points:
- Open circuit in harness
- Female terminal opening loose
- Coupler (pin holder) damage
- Pin discoloration (blackness)
- Harness/pin clamp is loose or disconnected





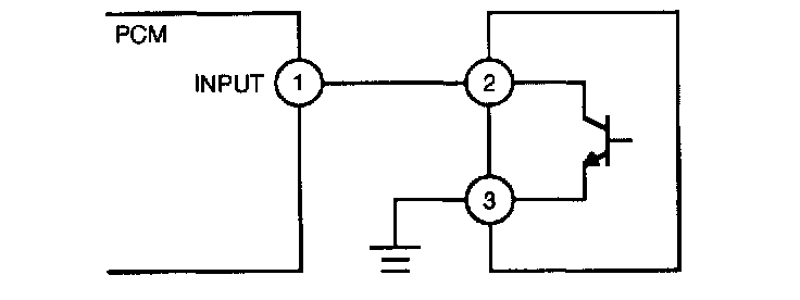
Vehicle Speed Sensor

1. Measure the PCM terminal voltage and confirm that it is at 0 V or 5 V when ignition switch is ON and the engine at idle.
(1) If it is at 0 V or 5 V, proceed to "Intermittent Diagnostic Test".
(2) If not, check the following points concerning the PCM connector. If there is no problems, proceed to next step.
- Female terminal opening loose
- Coupler (pin holder) damage
- Pin discoloration (blackness)
- Harness/pin clamp is loose or disconnected
2. Measure the #2 sensor terminal voltage and confirm that it is at 0 V or 5 V when the ignition switch is ON and the engine at idle.
(1) If it is at 0 V or 5 V, proceed to "Intermittent Diagnostic Test".
(2) If not, check the following points concerning the sensor connector: If there are no problems, proceed to next step.
- Female terminal opening loose
- Coupler (pin holder) damage
- Pin discoloration (blackness)
- Harness/pin clamp is loose or disconnected
3. Confirm that the #3 terminal switch voltage is at 0 V.
(1) If it is at 0 V, inspect the sensor. If necessary, replace the sensor.
(2) If not at 0 V, check the following points:
- Open or short circuit in harness
- Female terminal opening loose
- Coupler (pin holder) damage
- Pin discoloration (blackness)
- Harness/pin clamp is loose or disconnected