Operation CHARM: Car repair manuals for everyone.
Manuals through 2025 now available!

Our trusted friends have launched a new website named LEMON, which has newer manuals. It also contains all the CHARM manuals.

LEMON is the spiritual successor to CHARM, I recommend you try it!

Link: lemon-manuals.la or lemon-manuals.org.ua

(Some people have issue connecting. LEMON is investigating. For now, use Firefox or change your DNS server)

Or, hide this message: temporarily or permanently

Keyless Entry System On-Board Diagnosis

There are two functions for the keyless entry system on-board diagnosis (OBD). OBD function 1 tells the keyless control module and CPU to activate the power door lock and trunk lid opener systems without the transmitter. OBD function 2 monitors a keyless entry demand signal sent from the transmitter and used inside the keyless control module. OBD function 2 diagnoses the transmitter, integrated antenna and the keyless control module.





On-board Diagnostic Function 1
Before performing troubleshooting, conduct the following procedure.

Part 1 Of 3:




Part 2 Of 3:




Part 3 Of 3:




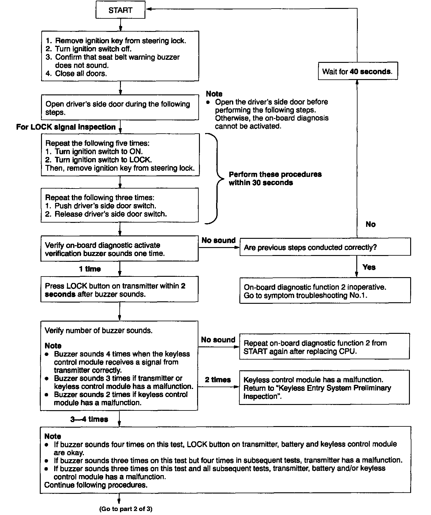
On-board Diagnostic Function 2
Before performing troubleshooting, conduct the following procedure.