Operation CHARM: Car repair manuals for everyone.
Manuals through 2025 now available!

Our trusted friends have launched a new website named LEMON, which has newer manuals. It also contains all the CHARM manuals.

LEMON is the spiritual successor to CHARM, I recommend you try it!

Link: lemon-manuals.la or lemon-manuals.org.ua

(Some people have issue connecting. LEMON is investigating. For now, use Firefox or change your DNS server)

Or, hide this message: temporarily or permanently

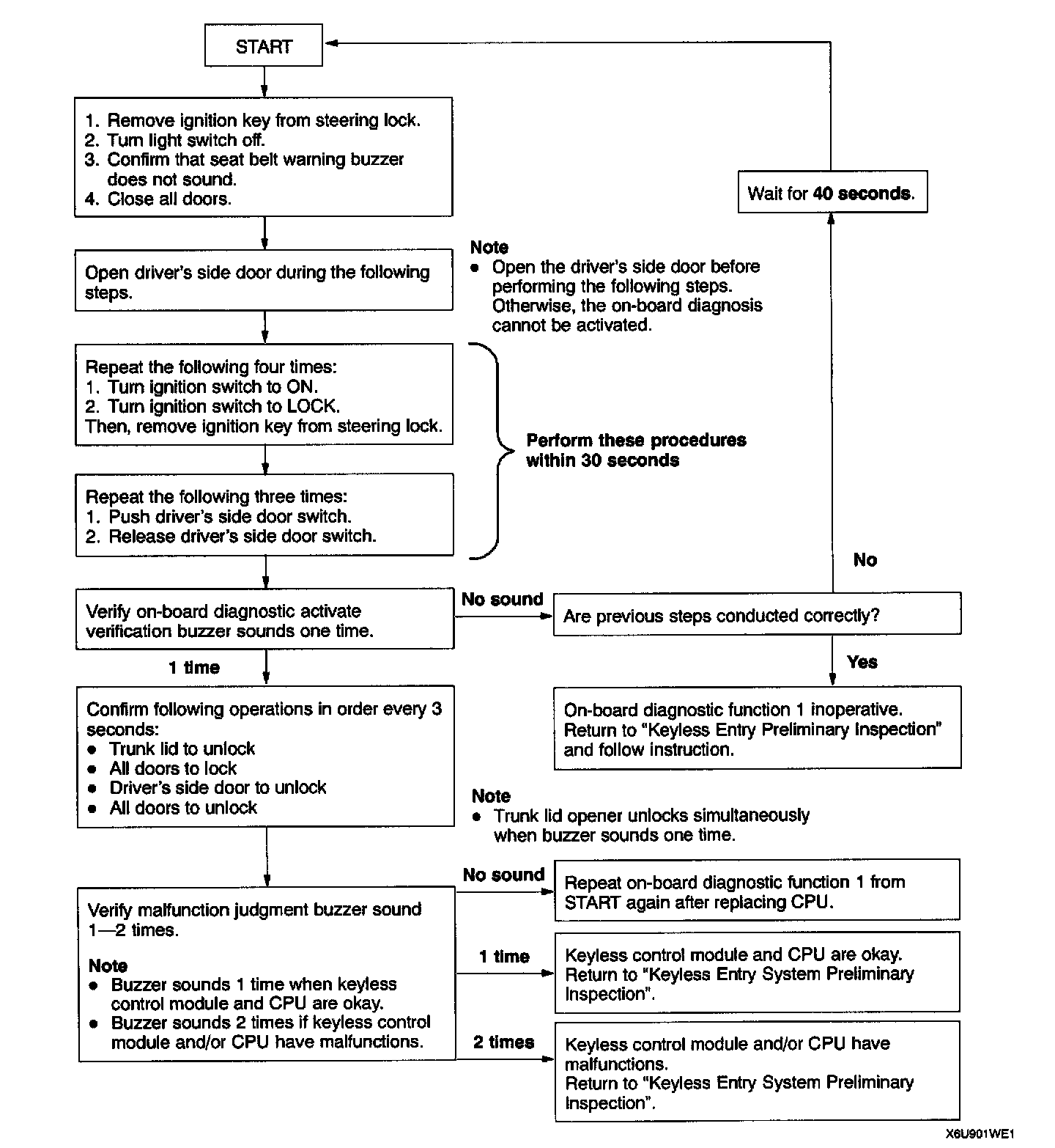
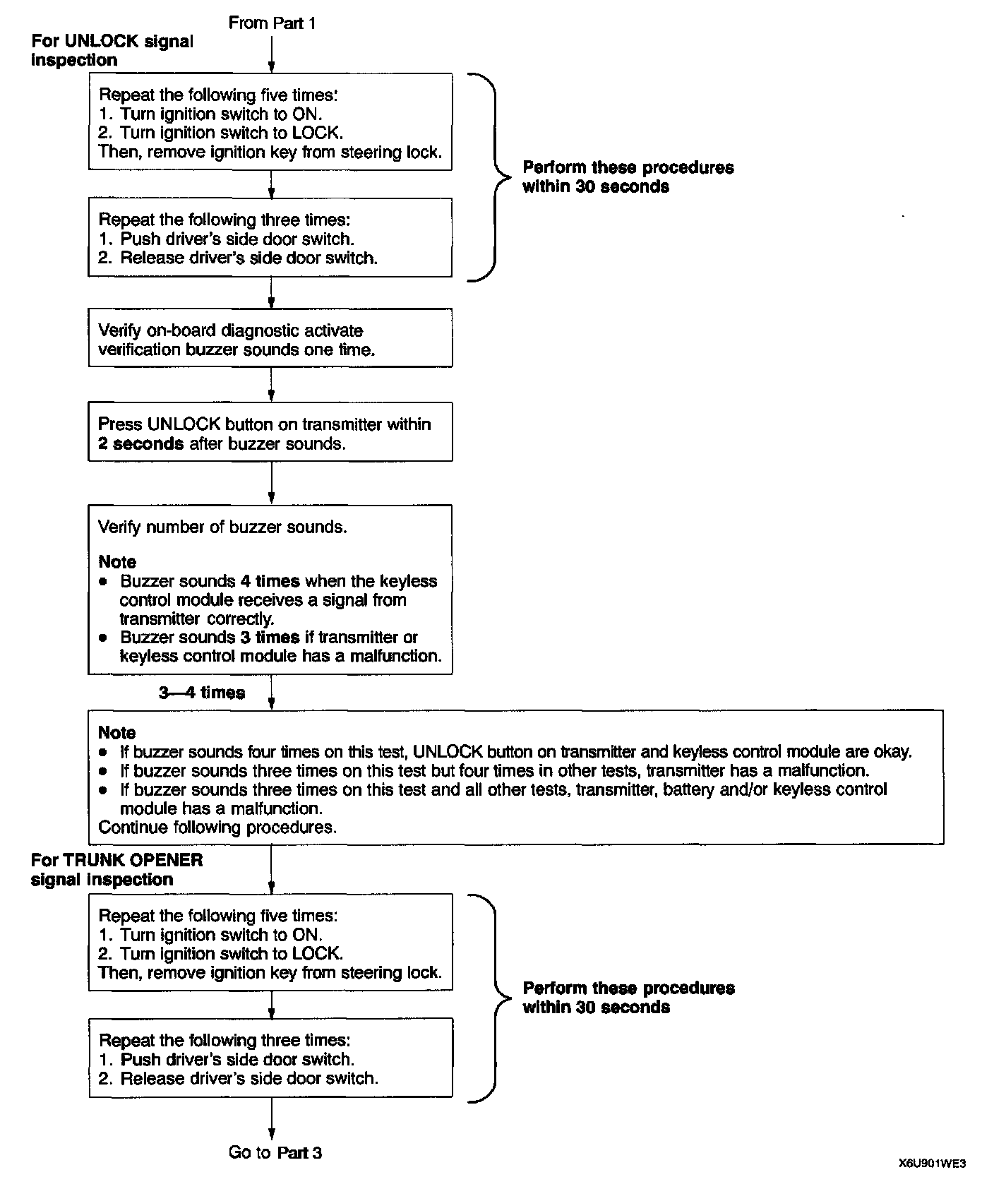
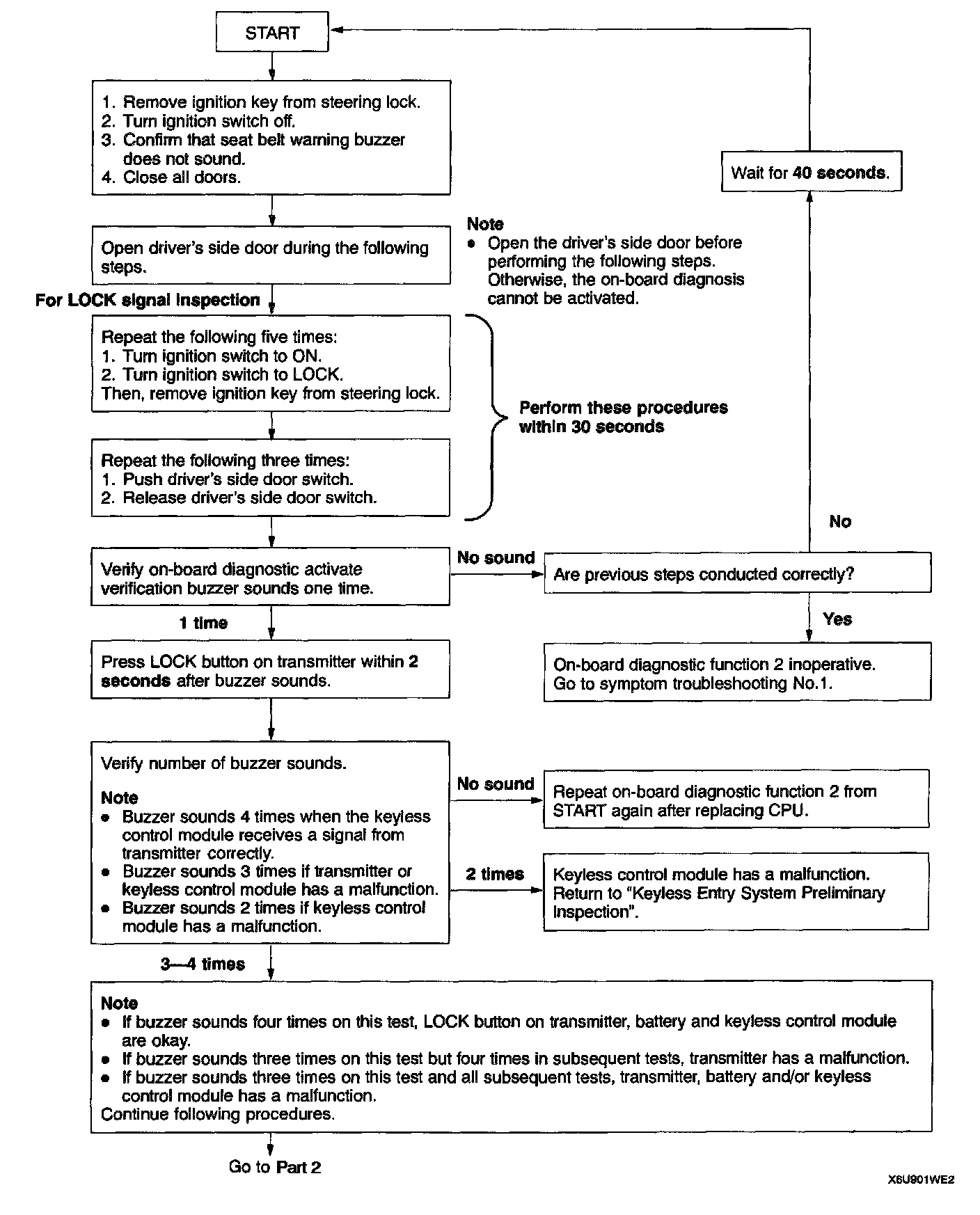
On-Board Diagnostic Function

KEYLESS ENTRY SYSTEM ON-BOARD DIAGNOSTIC
There are two functions for the keyless entry system onboard diagnostic (OBD). OBD function 1 tells the keyless control module and CPU to activate the power door lock and trunk lid opener Systems without the transmitter. OBD function 2 monitors a keyless entry demand signal sent from the transmitter and used inside the keyless control module. OBD function 2 diagnoses the transmitter, integrated antenna and the keyless control module.




On-board Diagnostic Function 1
Before performing troubleshooting, conduct the following procedure.

Part 1:




Part 2:




Part 3:




On-board Diagnostic Function 2
Before performing troubleshooting, conduct the following procedure.