Operation CHARM: Car repair manuals for everyone.
Manuals through 2025 now available!

Our trusted friends have launched a new website named LEMON, which has newer manuals. It also contains all the CHARM manuals.

LEMON is the spiritual successor to CHARM, I recommend you try it!

Link: lemon-manuals.la or lemon-manuals.org.ua

(Some people have issue connecting. LEMON is investigating. For now, use Firefox or change your DNS server)

Or, hide this message: temporarily or permanently

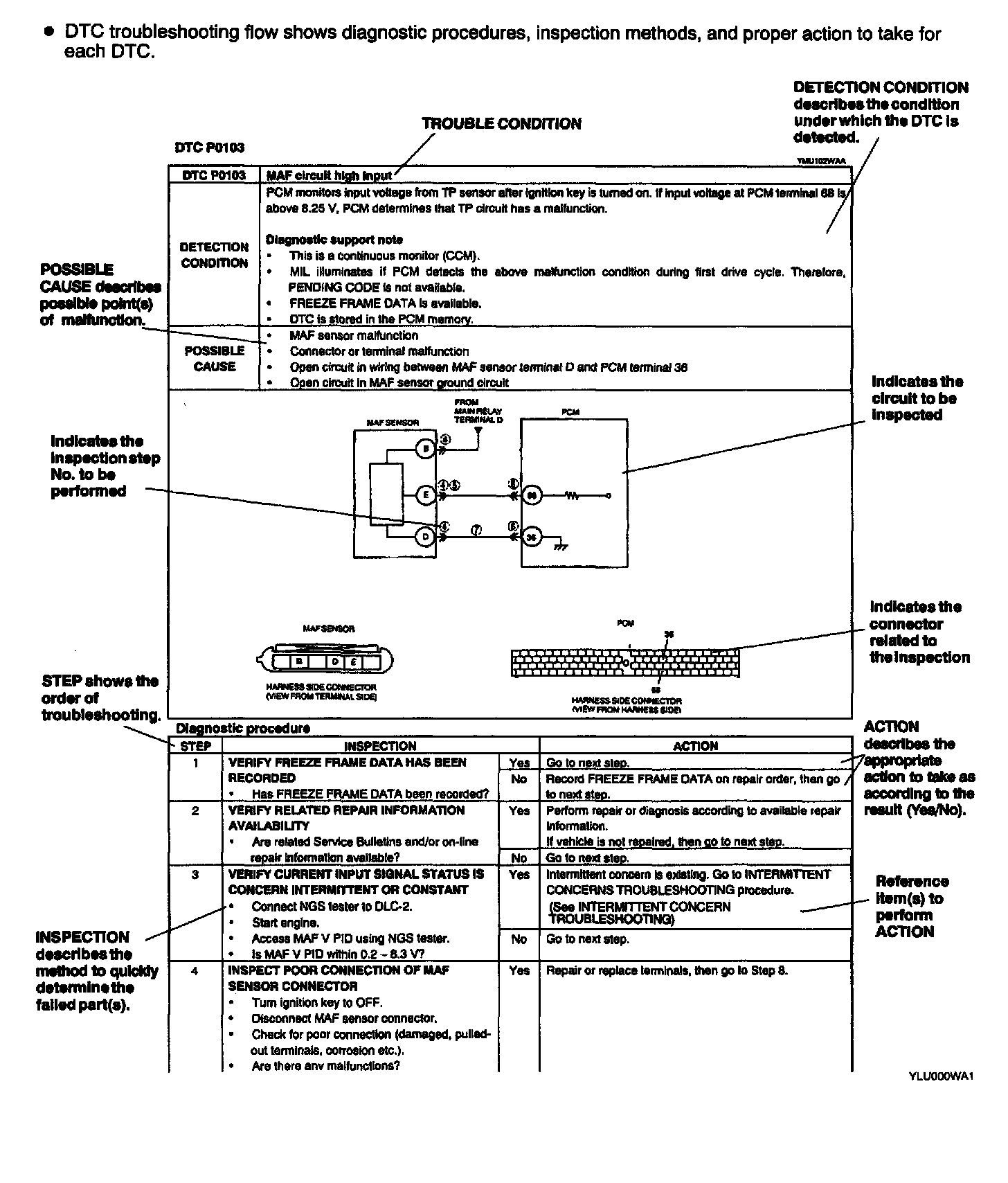
DTC Troubleshooting Flow (on-Board Diagnostic)




Basic flow of troubleshooting

DTC troubleshooting flow (on-board diagnostic)
- Diagnostic trouble codes (DTCs) are important hints for repairing malfunctions that are difficult to simulate. Perform the specific DTC diagnostic inspection to quickly and accurately diagnose the malfunction.
- The on-board diagnostic function is used during inspection. When a DTC is shown specifying the cause of a malfunction, continue the diagnostic inspection according to the items indicated by the on-board diagnostic function.

Diagnostic index
- The diagnostic index lists the symptoms of specific malfunctions. Select the symptoms related or most closely relating to the malfunction.

Quick diagnosis chart (If mentioned)
- The quick diagnosis chart lists diagnosis and inspection procedures to be performed specifically relating to the cause of the malfunction.

Symptom troubleshooting
- Symptom troubleshooting quickly determines the location of the malfunction according to symptom type.

Procedures for Use




Using the DTC troubleshooting flow