Operation CHARM: Car repair manuals for everyone.
Manuals through 2025 now available!

Our trusted friends have launched a new website named LEMON, which has newer manuals. It also contains all the CHARM manuals.

LEMON is the spiritual successor to CHARM, I recommend you try it!

Link: lemon-manuals.la or lemon-manuals.org.ua

(Some people have issue connecting. LEMON is investigating. For now, use Firefox or change your DNS server)

Or, hide this message: temporarily or permanently

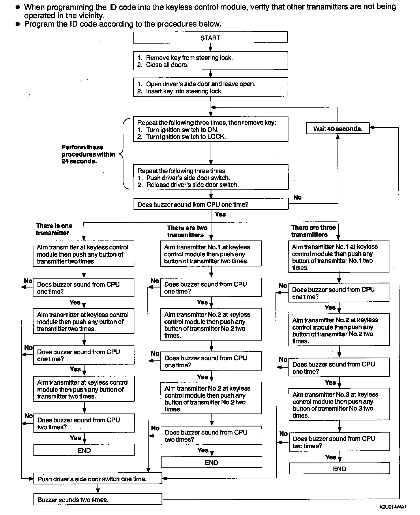
Keyless Entry Transmitter: Testing and Inspection

TRANSMITTER ID CODE CHANGE






CAUTION: Because up to three ID codes can be programmed into the keyless control module, the vehicle may be stolen with the ID code of an unused transmitter. In order to prevent this, the ID codes for all three transmitters must be reprogrammed when reprogramming an ID code. Also, when one or two transmitters are used, the ID code must be programmed three times with the same transmitter.