Operation CHARM: Car repair manuals for everyone.
Manuals through 2025 now available!

Our trusted friends have launched a new website named LEMON, which has newer manuals. It also contains all the CHARM manuals.

LEMON is the spiritual successor to CHARM, I recommend you try it!

Link: lemon-manuals.la or lemon-manuals.org.ua

(Some people have issue connecting. LEMON is investigating. For now, use Firefox or change your DNS server)

Or, hide this message: temporarily or permanently

Control Assembly: Testing and Inspection

CLIMATE CONTROL UNIT INSPECTION

Full-auto Air Conditioner
1. Connect all center panel connectors.
2. Turn the ignition switch to ON position.
3. Measure the voltage at each climate control unit terminal and refer to the terminal voltage list.
- If not as specified, inspect the parts listed under "Action" and the related wiring harness.
- If there is any malfunction, replace the climate control unit.

Part 1:




Part 2:




Part 3:




Part 4:




Part 5:




Part 6:




Part 7:




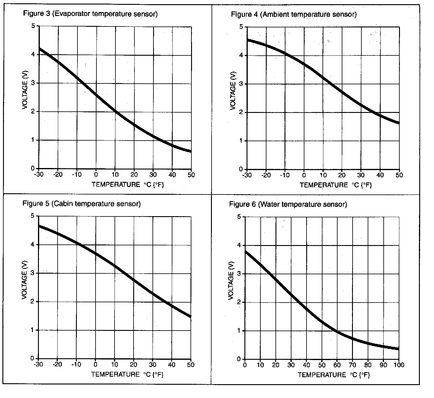
Terminal Voltage List (Reference)

Manual Air Conditioner Fan switch
1. Remove the climate control unit.







2. Inspect for continuity between the fan switch terminals using an ohmmeter.
- If not as specified, replace the fan switch.

Mode switch
1. Remove the climate control unit.







2. Inspect for continuity between the mode switch terminals using an ohmmeter.
- If not as specified, replace the climate control unit.




3. Verify that the resistance between the terminals of the mode switch is as shown in the table.
- If not as specified, replace the mode switch.