Operation CHARM: Car repair manuals for everyone.
Manuals through 2025 now available!

Our trusted friends have launched a new website named LEMON, which has newer manuals. It also contains all the CHARM manuals.

LEMON is the spiritual successor to CHARM, I recommend you try it!

Link: lemon-manuals.la or lemon-manuals.org.ua

(Some people have issue connecting. LEMON is investigating. For now, use Firefox or change your DNS server)

Or, hide this message: temporarily or permanently

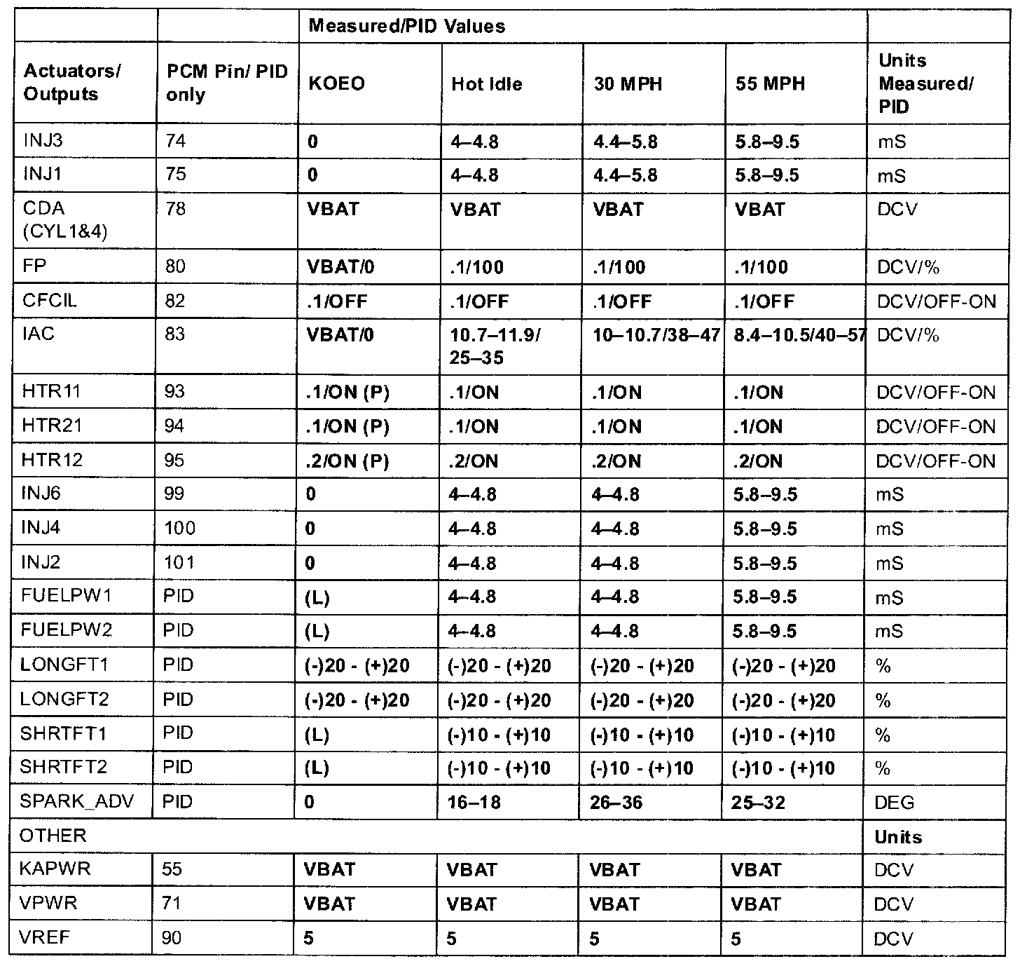
Pinout Values and Diagnostic Parameters

3.0L (M/T) Terminal Voltage (Reference)

NOTE: All values shown may vary 20% depending on operating conditions and other factors. RPM values are axle and tire dependent.







Sensor/Inputs







Actuators/Outputs







GENERIC OBD II PID VALUES

3.0L (A/T) Terminal Voltage (Reference)

NOTE: All values shown may vary 20% depending on operating conditions and other factors. RPM values are axle and tire dependent.







Sensor/Inputs







Actuators/Outputs




GENERIC OBD II PID VALUES