Operation CHARM: Car repair manuals for everyone.
Manuals through 2025 now available!

Our trusted friends have launched a new website named LEMON, which has newer manuals. It also contains all the CHARM manuals.

LEMON is the spiritual successor to CHARM, I recommend you try it!

Link: lemon-manuals.la or lemon-manuals.org.ua

(Some people have issue connecting. LEMON is investigating. For now, use Firefox or change your DNS server)

Or, hide this message: temporarily or permanently

General Pinpoint Test 4

Step 1:



Step 2-Step 5:



Step 6:



Step 7-Step 10:



Step 11-Step 12:



Step 13-Step 14:



Step 15:



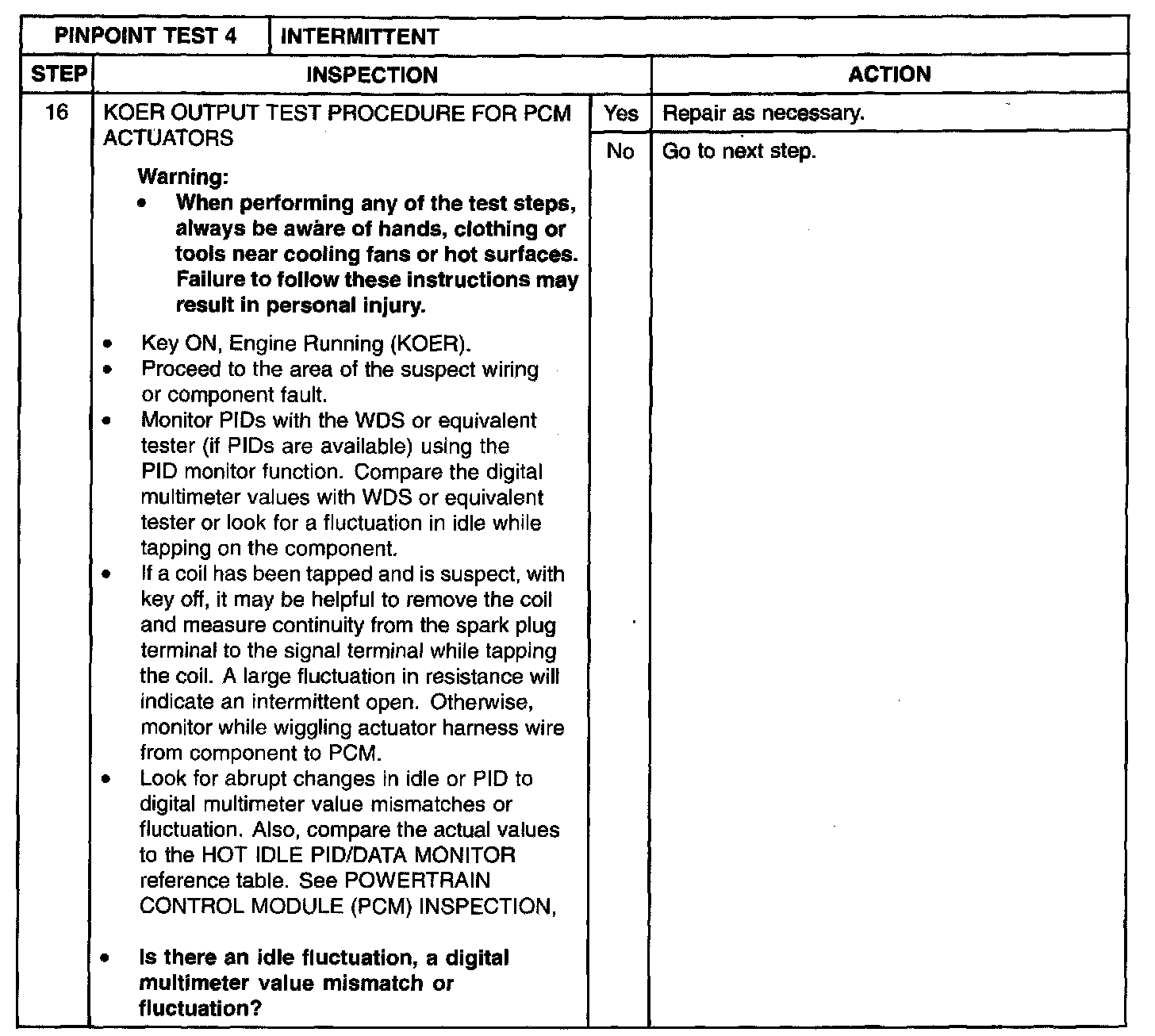
Step 16:



Step 17-Step 18:



Step 19: