Operation CHARM: Car repair manuals for everyone.
Manuals through 2025 now available!

Our trusted friends have launched a new website named LEMON, which has newer manuals. It also contains all the CHARM manuals.

LEMON is the spiritual successor to CHARM, I recommend you try it!

Link: lemon-manuals.la or lemon-manuals.org.ua

(Some people have issue connecting. LEMON is investigating. For now, use Firefox or change your DNS server)

Or, hide this message: temporarily or permanently

Balancer Unit Assembly Note

Balancer Unit Assembly Note

Caution
^ The balancer unit cannot be disassembled due to the precision interior construction of the balancer unit.


1. Visually inspect the balancer unit gear for damage and verify that the shaft rotates smoothly.
^ If there is any malfunction, replace the balancer unit.





2. Remove the cylinder block lower blind plug and install the SST.
3. Rotate the crankshaft in the direction of engine rotation so that the No. 1 cylinder is at top dead center (TDC). (Until the counterweight contacts the SST and stops.)

Note
^ If the cylinder block, crankshaft, crankshaft main bearing, and balancer unit are not replaced, use the adjustment shim as it is. In this case, go to Step 12.

4. Assemble the master shims (No. 50) to the shim seating face of the balancer unit at the angles shown in the figure.





Caution
^ Engage the gears slowly and place the balancer unit on the cylinder block while being careful not to contact the balancer unit gear strongly with the crankshaft drive gear and damage it.






5. With the balancer unit marks at the exact top center positions, assemble the balancer unit to the cylinder block and tighten the bolts in a criss-cross pattern in two steps.

Tightening torque
1. 25 N.m (2.5 kgf-m, 18 ft.lbf)
2. 39-45 N.m (4.0-4.5 kgf-m, 29-33 ft-lbf)

6. Remove the SST installed in Step 2.
7. Measure the gear backlash using the following procedure.
1) Place the ATDC marks 10°, 30°, 100°, 190°, 210°, 280° on the rear side of the crankshaft to indicate the angles.





2) Insert a flathead screwdriver into the crankshaft No.1 counterweight area and set both the rotation and the thrust direction with the flathead screwdriver, using a prying action, as shown in the figure for accurate measurement of the backlash.





3) Set the SST and a dial gauge as shown in the figure.
4) Rotate the driven gear to the left and right so that the crankshaft drive gear and balancer unit gear contact each other lightly.
5) When measuring the backlash, rotate the crankshaft one full rotation and measure the backlash at 6 locations (A to F) as shown in the figure.





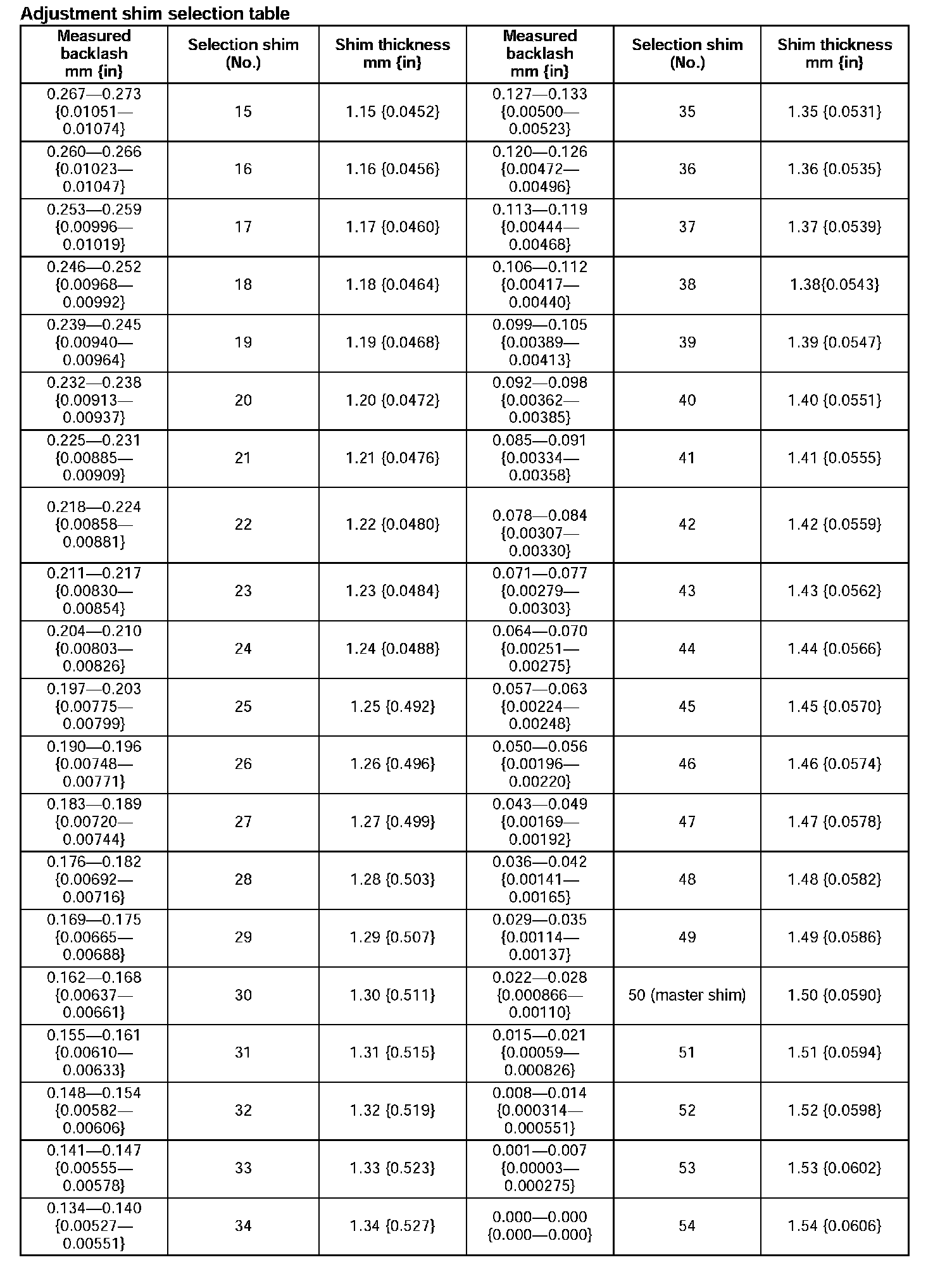
8. Select the adjustment shim from the selection table based on the measured minimum value of the backlash.

Adjustment shim selection table





9. Verify that the No. 1 cylinder is at TDC.
^ If not aligned, perform Steps 2-3.





10. Remove the master shim from the balancer unit and assemble the selected adjustment shim at the angles shown in the figure.
11. Perform Steps 5-7.
12. Verify that the measured backlash is within the specified range. If the backlash exceeds the maximum specification, replace the adjustment shim and repeat Steps 4-12.

Measured backlash maximum
0.01-0.10 mm (0.001-0.003 in)