Operation CHARM: Car repair manuals for everyone.
Manuals through 2025 now available!

Our trusted friends have launched a new website named LEMON, which has newer manuals. It also contains all the CHARM manuals.

LEMON is the spiritual successor to CHARM, I recommend you try it!

Link: lemon-manuals.la or lemon-manuals.org.ua

(Some people have issue connecting. LEMON is investigating. For now, use Firefox or change your DNS server)

Or, hide this message: temporarily or permanently

Test A: The Speed Control Is Inoperative

PINPOINT TEST A: THE SPEED CONTROL IS INOPERATIVE


A1-A3:






A3-A6:






A6-A7:






A8-A10:






A10-A12:






A12-A14:






A15-A16:






A17-A20:






A20-A24:






A24-A26:






A26-A29:






A29-A31:






A31-A33:






A33-A35:






A36-A37:






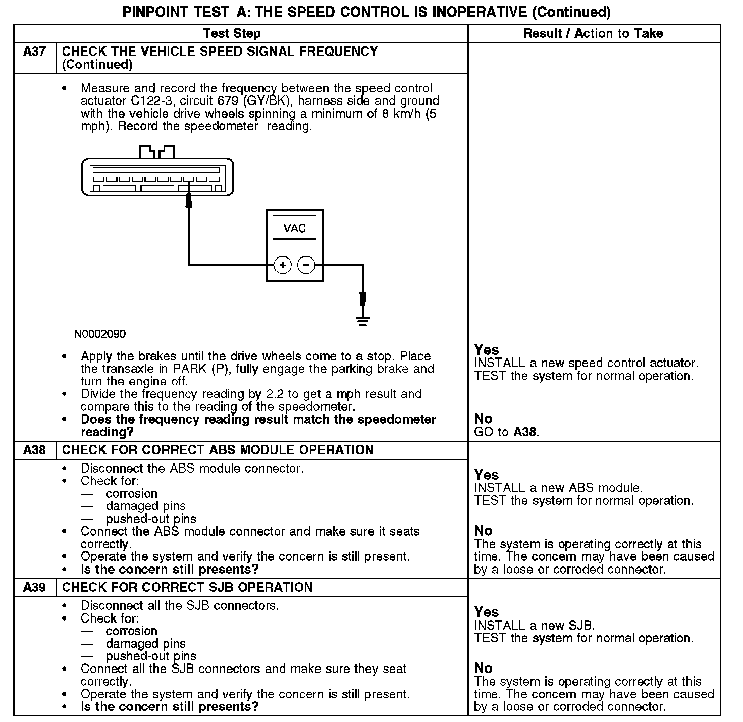
A37-A39:






Normal Operation
The speed control actuator sends and receives signals to the speed control switches through circuits 151 (LB/BK) and 848 (DG/OG). Voltage to the speed control actuator is supplied through circuit 601 (LB/PK) from the smart junction box (SJB). Ground for the speed control actuator is through circuit 57 (BK).

Voltage for the speed control servo clutch (internal to the speed control actuator) is supplied by the SJB to the speed control deactivator switch through circuit 1928 (RD/WH). The speed control deactivator switch (closed when the brake pedal is not applied) then routes the voltage through circuit 248 (TN/OG) to the speed control actuator. When the brake pedal is firmly pressed, the speed control deactivator switch opens and voltage is no longer supplied to the speed control servo clutch.

When the brake pedal is applied, the stoplamp switch routes voltage to circuit 511 (LG) to illuminate the stoplamps and send a voltage signal to the speed control actuator. When the speed control actuator receives this input, the speed control actuator goes into a stand-by mode.

The speed control actuator sends a voltage reference signal through circuit 199 (LB/YE). The speed control system will not engage if circuit 199 (LB/YE) is grounded, and goes into a stand-by mode if the speed control system has a set speed that it is maintaining. When the transaxle is placed in NEUTRAL (N) (automatic transaxle), the digital transmission range (TR) sensor routes the signal to ground through circuit 57 (BK). When the clutch is applied (manual transaxle), the clutch pedal position switch (CPP) routes the signal to ground through circuit 359 (GY/RD) and then to the powertrain control module (PCM). The PCM provides a ground internally for this circuit.

The speed control actuator receives the speed signal from the ABS module through circuit 679 (GY/BK).

Possible Causes
- Fuse
- Circuit 57 (BK) open
- Circuit 151 (LB/BK) open, short to ground or voltage
- Circuit 199 (LB/YE) short to ground
- Circuit 248 (TN/OG) open
- Circuit 511 (LG) open
- Circuit 601 (LB/PK) open
- Circuit 679 (GY/BK) open, short to ground or voltage
- Circuit 848 (DG/OG) open or short to voltage
- Circuit 1928 (RD/WH) open
- Stoplamp bulbs
- Stoplamp switch
- CPP switch
- TR sensor
- Speed control deactivator switch
- Speed control cable
- Throttle body linkage
- Speed control switches
- Clockspring
- Speed control actuator
- Audio unit
- SJB
- Anti-Lock brake system (ABS) module