Operation CHARM: Car repair manuals for everyone.
Manuals through 2025 now available!

Our trusted friends have launched a new website named LEMON, which has newer manuals. It also contains all the CHARM manuals.

LEMON is the spiritual successor to CHARM, I recommend you try it!

Link: lemon-manuals.la or lemon-manuals.org.ua

(Some people have issue connecting. LEMON is investigating. For now, use Firefox or change your DNS server)

Or, hide this message: temporarily or permanently

Repair and Diagnosis: Application and ID




Identification Codes


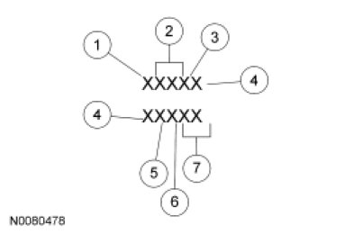
Vehicle Identification Number (VIN)

Vehicle Identification Number (VIN) Tag Locator





The Vehicle Identification Number (VIN) is a 17-digit combination of letters and numbers. The VIN is stamped on a metal tab riveted on the instrument panel, top upper left of the dash. The VIN is also found on the Vehicle Certification (VC) label. If the VIN plate requires replacement, authorized dealers must contact their respective regional office.











World Manufacturer Identifier (WMI)





The first 3 VIN positions are the World Manufacturer Identifier (WMI).

- 1FM - Ford Motor Company, USA, Multi-Purpose Vehicle (MPV)
- 4M2 - Ford Motor Company (Mercury), USA, MPV

Restraint Type and Gross Vehicle Weight Rating (GVWR)





The fourth VIN position is the restraint brake type and Gross Vehicle Weight Rating (GVWR) code.

- E - 6,001-7,000 pounds GVWR with driver and front passenger air bags and side impact air canopy

Line, Series and Body Type





VIN positions 5 through 7 indicate the vehicle line, series and body type.

- U23 - Explorer Sport Trac, All-Wheel Drive (AWD), Limited
- U31 - Explorer Sport Trac, Rear Wheel Drive (RWD), XLT
- U33 - Explorer Sport Trac, RWD, Limited
- U37 - Mountaineer, RWD, Luxury
- U38 - Mountaineer, RWD, Premier
- U47 - Mountaineer, AWD, Luxury
- U48 - Mountaineer, AWD, Premier
- U51 - Explorer Sport Trac, Four-Wheel Drive (4WD), XLT
- U53 - Explorer Sport Trac, 4WD, Limited
- U63 - Explorer, RWD, XLT
- U64 - Explorer, RWD, Eddie Bauer
- U65 - Explorer, RWD, Limited
- U73 - Explorer, 4WD, XLT
- U74 - Explorer, 4WD, Eddie Bauer
- U75 - Explorer, 4WD, Limited
- U83 - Explorer, AWD, XLT
- U84 - Explorer, AWD, Eddie Bauer
- U85 - Explorer, AWD, Limited

Engine Type





The eighth VIN position is the engine type (displacement and number of cylinders).

- E - 4.0L, SOHC, V6, electronic fuel injection (Cologne)
- 8 - 4.6L, 3-valve, V8, electronic fuel injection

Check Digit





The ninth VIN position is a government-assigned, computer-generated check digit.

Model Year





The tenth VIN position is the model year code.

- 9 - 2009

Assembly Plant





The eleventh VIN position is the assembly plant code.

- U - Louisville, Kentucky

Build Sequence





VIN positions 12 through 17 are an alphanumeric code for the vehicle build sequence. This is also the vehicle serial and warranty number. This serial number can also be found on the engine block, transmission and frame.

- A00001-E99999 - Ford
- J00001-L99999 - Mercury


Vehicle Certification (VC) Codes

Vehicle Certification (VC) Label Locator













The Vehicle Certification (VC) label contains information on the manufacturer name, the month and year of manufacture, the certification statement and the Vehicle Identification Number (VIN). This label also includes Gross Vehicle Weight Rating (GVWR) information.

If a vehicle requires replacement of the VC label and is 4 years old or less, an authorized dealer must submit the VIN to their respective regional office. The regional office will submit a web form to the assembly plant for the replacement label. Once the label has been printed, a representative from the regional office will deliver the label to the dealer and witness installation on the vehicle. If a vehicle is more than 4 years old and requires a replacement label, the dealer must submit a request to the Department of Motor Vehicles.

Exterior Paint





Exterior paint codes may be listed as a 2-part code. The first set of characters identify the primary body color. The second set of characters (if applicable) identify the vehicle accent or 2-tone body color. All colors are base coat/clear coat.

Primary Exterior Color Codes
- D3 - Colorado Red - Explorer/Explorer Sport Trac
- JV - Sangria Red - Explorer/Mountaineer/Explorer Sport Trac
- PV - White Chocolate (tri-coat) - Explorer/Mountaineer
- T5 - Dark Copper - Explorer/Explorer Sport Trac
- T9 - Monterrey Gray - Explorer/Mountaineer/Explorer Sport Trac
- U1 - Sport Blue - Explorer/Mountaineer/Explorer Sport Trac
- UA - Ebony - Explorer/Mountaineer/Explorer Sport Trac
- UI - Brilliant Silver Metallic - Explorer/Mountaineer/Explorer Sport Trac
- WS - White Suede - Explorer/Mountaineer/Explorer Sport Trac
- YZ - Oxford White - Explorer

Wheelbase





- 114 - 2,895 mm (114 in) - Explorer/Mountaineer
- 131 - 3,327 mm (131 in) - Explorer Sport Trac

Interior Trim





Interior trim codes are listed as a 2-part code. The first character identifies the interior trim type. The second character identifies the interior trim color.

Interior Trim Type
- M - Seat kit 15, leather trim - Explorer Sport Trac Adrenalin
- R - Seat kit 1, value cloth - Explorer XLT
- S - Seat kit 2, premium cloth - Explorer XLT/Mountaineer
- T - Seat kit 5, leather trim - Explorer Sport Trac Limited
- T - Seat kit 4, leather trim - Explorer XLT
- U - Seat kit 12, cloth bucket seats - Explorer Sport Trac XLT
- V - Seat kit 3, leather trim, Explorer XLT
- W - Seat kit 13, cloth bucket seats - Explorer Sport Trac XLT/Limited
- Z - Seat kit 8, leather - Explorer Eddie Bauer
- 3 - Seat kit 7, perforated leather - Mountaineer
- 4 - Seat kit 10, leather - Mountaineer
- 5 - Seat kit 9, leather - Mountaineer
- 8 - Seat kit 11, embossed leather - Mountaineer

Interior Trim Color
- C - Camel - Explorer/Mountaineer/Explorer Sport Trac
- W - Charcoal Black - Explorer/Mountaineer/Explorer Sport Trac

Tape/Paint Stripe





Tape and paint stripe codes do not apply.

Radio Type





- 3 - AM/FM stereo, 6-disc in-dash CD changer with MP3 capability
- A - AM/FM stereo, CD player with MP3 capability
- Q - AM/FM stereo, 6-disc in-dash CD changer and navigation system

Axle Type





- 45 - 3.55 non-limited slip
- 46 - 3.73 non-limited slip

Transmission Type





- V - 5-speed automatic, 5R55S
- 6 - 6-speed automatic, 6R80

Spring Code





Spring codes are listed as a 2-part code. The first characters listed identifies the front springs. The second character listed identifies the rear springs.

Front Springs
- AA - 9LT-18B036-A - Explorer/Mountaineer
- BB - 9LT-18B036-B - Explorer/Mountaineer
- CC - 9LT-18B036-C - Explorer/Mountaineer
- AA - 9A24-18B036-A - Explorer Sport Trac
- BB - 9A24-18B036-B - Explorer Sport Trac
- CC - 9A24-18B036-C - Explorer Sport Trac
- DD - 9A24-18B036-D - Explorer Sport Trac
- EE - 9A24-18B036-E - Explorer Sport Trac
- FF - 9A24-18B036-F - Explorer Sport Trac

Rear Springs
- AA - 8L24-18W002-A - Explorer/Mountaineer
- BB - 8L24-18W002-B - Explorer/Mountaineer
- BB - 8A24-18W002-B - Explorer Sport Trac
- DD - 8A24-18W002-A - Explorer Sport Trac
- FF - 8A24-18W002-C - Explorer Sport Trac


Powertrain Calibration Information





NOTE: Powertrain calibration information is limited to a maximum of 5 characters per line on the Vehicle Certification (VC) label. Because of this, calibration identification consisting of more than 5 characters will wrap to the second line on the VC label.

Powertrain calibration information is printed in the lower right corner of the VC label. Only base calibration information is printed. Revision levels will not appear, however, they can be obtained through a scan tool using the most current software revision.










The following offers a more detailed explanation of the coding strategy used.

Model Year
- 1 - 2001
- 2 - 2002
- 3 - 2003
- 4 - 2004
- 5 - 2005
- 6 - 2006
- 7 - 2007
- 8 - 2008
- 9 - 2009

Vehicle Line
- U5 - Explorer/Mountaineer
- UK - Explorer Sport Trac

Transmission
- 1 - Automatic transmission

Unique Calibration

The Emissions/Corporate Average Fuel Economy/CO2 Compliance Department is responsible for assigning these calibration numbers. Unique calibration identifications are assigned to cover similar vehicles to differentiate tires, drive configurations, final drive ratios and other calibration-significant factors.

These 2 characters are chosen by the analyst to provide identifiable information unique to each calibration. For example, using the number 2 to denote a 2-valve engine versus using the number 4 to denote a 4-valve engine, offers an easily identifiable difference.

Fleet Code
- 1 - Heavy Duty Gas Engine/Dyno
- 2 - Fast - Automobile Manufacturers Association, U.S.
- 3 - Alternative Durability Protocol, U.S.
- 4 - Not assigned
- 5 - Not assigned
- 6 - Evaporative Emission (EVAP)
- 7 - Mileage Accumulation, Aging Endurance Durability
- 8 - On-Board Diagnostic (OBD)
- 9 - Not assigned

Certification Region
- 5 - U.S. 50 states
- A - U.S. federal, including altitude, may include Canada and/or Mexico
- B - U.S. California, includes U.S. green states
- C - Canada
- D - China
- E - European Community (Austria, Belgium, Denmark, Finland, France, Germany, Greece, Ireland, Italy, Luxembourg, Netherlands, Portugal, Spain, Sweden, United Kingdom)
- F - Extended European Community (E plus Croatia, Czech Republic, Estonia, Hungary, Norway, Poland, Romania, Russian Federation, Slovakia, Slovenia, Switzerland, Yugoslavia)
- G - Gulf Cooperative Council (Bahrain, Kuwait, Oman, Qatar, Saudi Arabia, UAE)
- H - Hong Kong
- J - Japan
- K - Korea
- L - Malaysia
- M - Mexico
- N - New Zealand
- P - Australia
- Q - South America (Brazil)
- S - Singapore
- T - Taiwan
- V - Vietnam
- X - Rest Of World (ROW)
- Y - Military
- Z - Israel

Revision Level (not printed on label)
- 91-99 - Hardware calibration levels
- 01-04 - Preliminary levels
- 00 - Job 1 production (initial calibration)
- 05-09 - Pre-job 1 revisions to calibrations
- 10-89 - Post-job 1 revisions to calibrations
- 0B - Durability test level
- BD - On-Board Diagnostic (OBD) intermediate level (pre-05)