Operation CHARM: Car repair manuals for everyone.
Manuals through 2025 now available!

Our trusted friends have launched a new website named LEMON, which has newer manuals. It also contains all the CHARM manuals.

LEMON is the spiritual successor to CHARM, I recommend you try it!

Link: lemon-manuals.la or lemon-manuals.org.ua

(Some people have issue connecting. LEMON is investigating. For now, use Firefox or change your DNS server)

Or, hide this message: temporarily or permanently

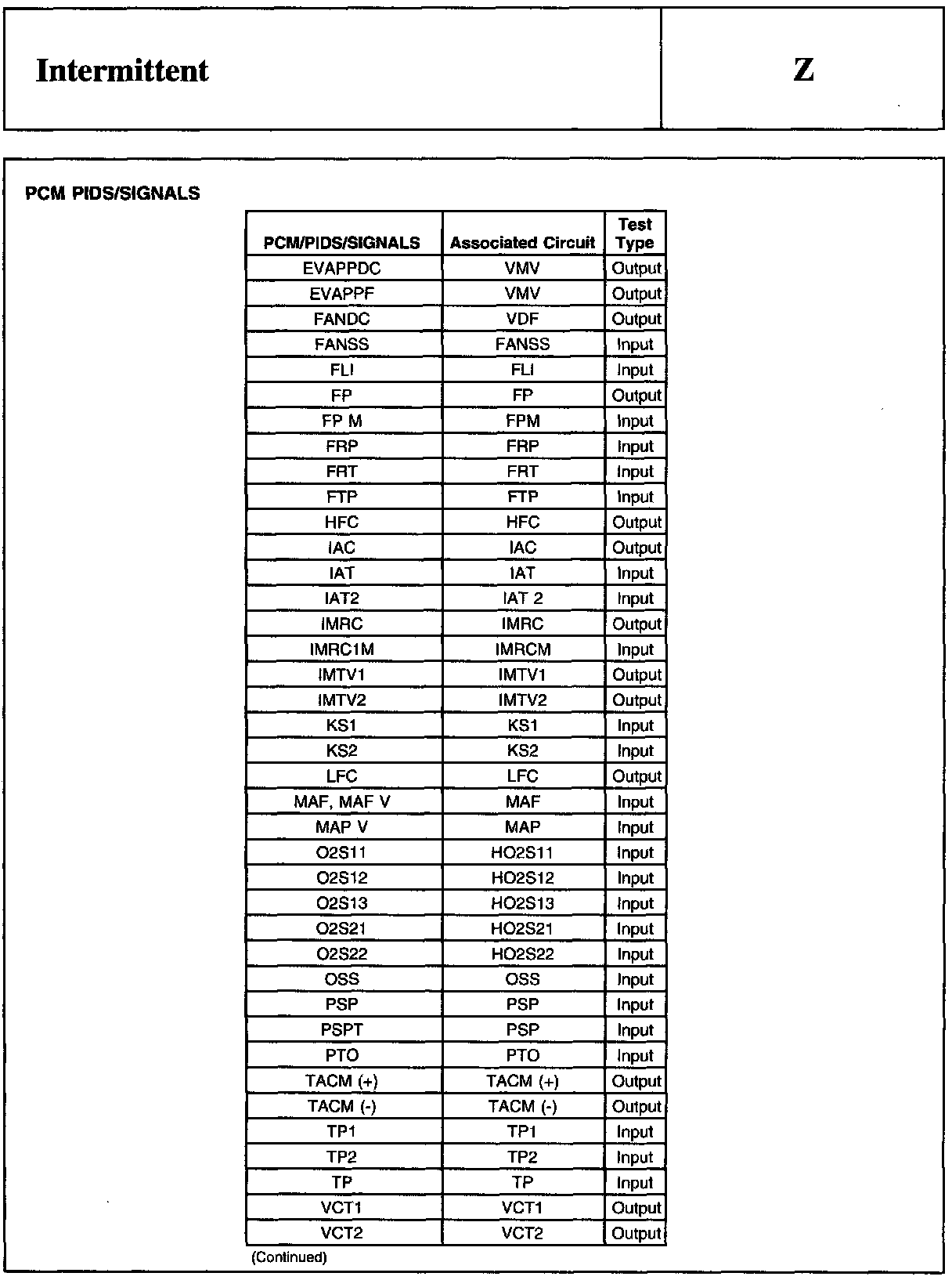
Z - Intermittent

PINPOINT TEST Z: INTERMITTENT

WARNING And PCM PID/Signals:





PCM PID/Signals (Continued):





Z1-Z3:





Z4-Z5:





Z6-Z8:





Z9-Z10:





Z11-Z12:





Z13-Z14:





Z15:





Z16:





Z17:





Z18-Z19: