Operation CHARM: Car repair manuals for everyone.
Manuals through 2025 now available!

Our trusted friends have launched a new website named LEMON, which has newer manuals. It also contains all the CHARM manuals.

LEMON is the spiritual successor to CHARM, I recommend you try it!

Link: lemon-manuals.la or lemon-manuals.org.ua

(Some people have issue connecting. LEMON is investigating. For now, use Firefox or change your DNS server)

Or, hide this message: temporarily or permanently

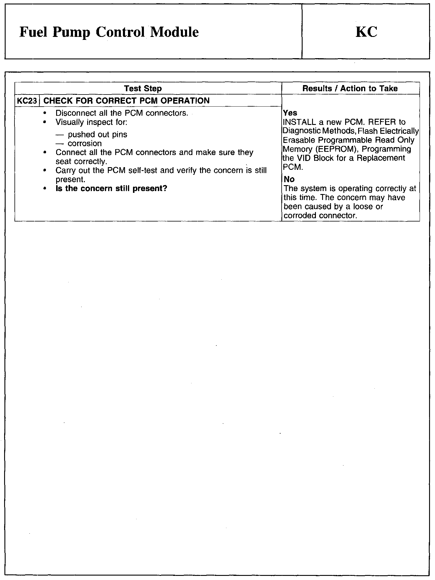
Test KC: Fuel Pump Control Module

PINPOINT TEST KC: FUEL PUMP CONTROL MODULE


Warning And Fuel Pump Control Module Connector:






Inertia Fuel Shutoff (IFS) Switch Connector And Powertrain Control Module (PCM) Connector:






KC1-KC3:






KC4-KC7:






KC8-KC11:






KC12-KC14:






KC15-KC18:






KC19-KC22:






KC23: