Operation CHARM: Car repair manuals for everyone.
Manuals through 2025 now available!

Our trusted friends have launched a new website named LEMON, which has newer manuals. It also contains all the CHARM manuals.

LEMON is the spiritual successor to CHARM, I recommend you try it!

Link: lemon-manuals.la or lemon-manuals.org.ua

(Some people have issue connecting. LEMON is investigating. For now, use Firefox or change your DNS server)

Or, hide this message: temporarily or permanently

Remote Keyless Entry System - Information Corrections

NO.: TSB-96-42A-023
DATE: December, 1996
MODEL: 1995 Eclipse

SUBJECT:
REMOTE KEYLESS ENTRY SYSTEM INFORMATION
CORRECTIONS - SERVICE MANUAL REVISION

TSB Revision TSB-96-42A-023

PURPOSE

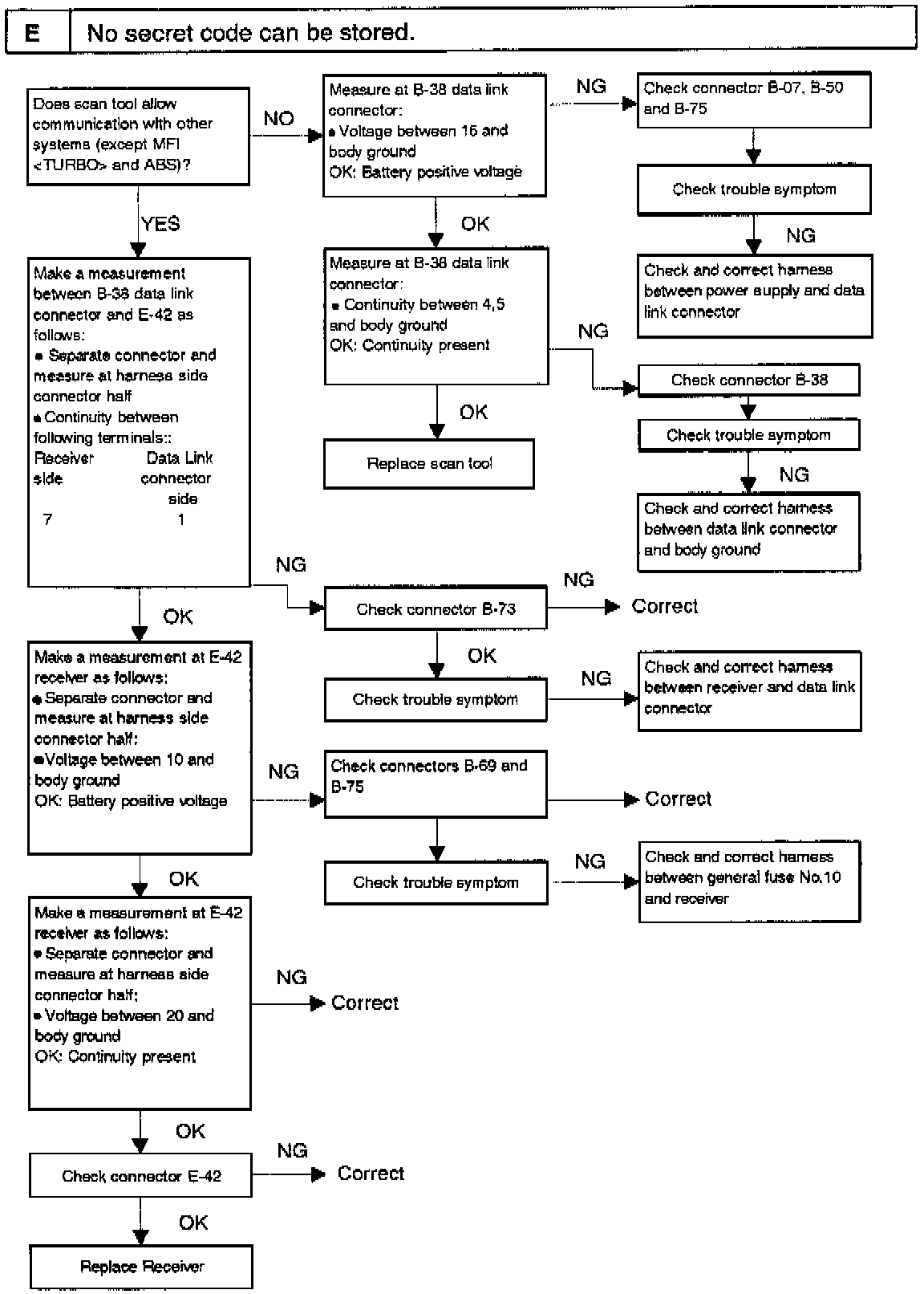
This bulletin corrects information in the 1995 Eclipse technical information manual and service manual concerning the remote keyless entry system (RKE). A new service manual page of troubleshooting diagnosis information is also included.

Write the TSB revision number of this bulletin in the "TSB Revision: box at the bottom of the affected service manual page.

AFFECTED VEHICLES

1995 Eclipse

AFFECTED MANUALS

1995 Eclipse Technical Information Manual, Page 4-14
1995 Eclipse Service Manual, Volume 1, Page 42-53

SERVICE MANUAL REVISIONS





1995 Eclipse Technical Information Manual. Page 4-15
Correct the information in the manual as shown.





1995 Eclipse Service Manual. Volume 1, Page 42-53
Add the corrected information for checking the E-42 receiver connector as shown.





1995 Eclipse Service Manual, Volume 1, Page 42-53
Add the troubleshooting diagnosis chart to the end of page 42-53.