Operation CHARM: Car repair manuals for everyone.
Manuals through 2025 now available!

Our trusted friends have launched a new website named LEMON, which has newer manuals. It also contains all the CHARM manuals.

LEMON is the spiritual successor to CHARM, I recommend you try it!

Link: lemon-manuals.la or lemon-manuals.org.ua

(Some people have issue connecting. LEMON is investigating. For now, use Firefox or change your DNS server)

Or, hide this message: temporarily or permanently

General Scan Tool (GST) Mode 01 Reference Table

GENERAL SCAN TOOL (GST) MODE 01 REFERENCE TABLE

The purpose of this service of to allow access to current emission-related data values, including analogue inputs and outputs, digital inputs and outputs, and system status information.

The request for information includes a parameter identification (PID) value that indicates to the on-board system the specific information requested.

The ECM [M/T] or the PCM [A/T] will respond to this message by transmitting the requested data value last determined by the system. All data values returned for sensor readings will be actual readings, not default or substitute values used by the system because of a fault with that sensor.

NOTE: GST MODE 01 can be accessed through the use of a general scan tool.


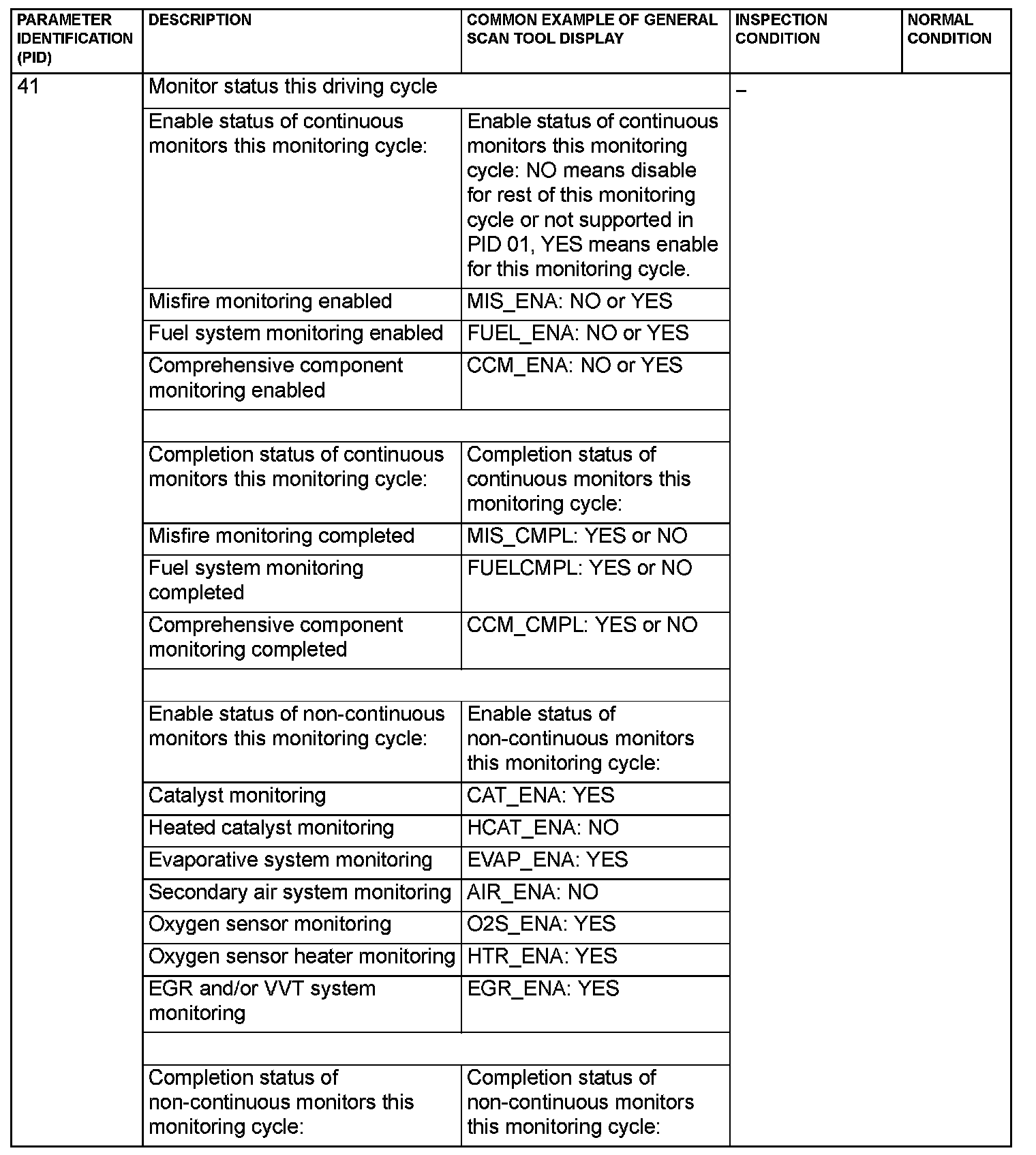
General Scan Tool (GST) Mode 01 Reference Table (Part 1):




General Scan Tool (GST) Mode 01 Reference Table (Part 2):




General Scan Tool (GST) Mode 01 Reference Table (Part 3):




General Scan Tool (GST) Mode 01 Reference Table (Part 4):




General Scan Tool (GST) Mode 01 Reference Table (Part 5):