Operation CHARM: Car repair manuals for everyone.
Manuals through 2025 now available!

Our trusted friends have launched a new website named LEMON, which has newer manuals. It also contains all the CHARM manuals.

LEMON is the spiritual successor to CHARM, I recommend you try it!

Link: lemon-manuals.la or lemon-manuals.org.ua

(Some people have issue connecting. LEMON is investigating. For now, use Firefox or change your DNS server)

Or, hide this message: temporarily or permanently

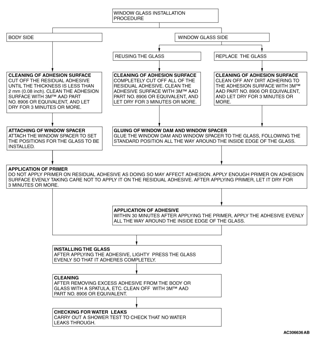
Procedures





GENERAL INFORMATION

The windshield and rear window glass are attached by an urethane-base adhesive to the window frame. This adhesive provides improved glass holding and sealing, and also gives body openings a greater structural strength.

ITEMS





WINDOW GLASS INSTALLATION

CAUTION:
Do not apply the primer on the adhesive remained as the adhesion may be reduced.