Operation CHARM: Car repair manuals for everyone.
Manuals through 2025 now available!

Our trusted friends have launched a new website named LEMON, which has newer manuals. It also contains all the CHARM manuals.

LEMON is the spiritual successor to CHARM, I recommend you try it!

Link: lemon-manuals.la or lemon-manuals.org.ua

(Some people have issue connecting. LEMON is investigating. For now, use Firefox or change your DNS server)

Or, hide this message: temporarily or permanently

Service Data and Specifications (SDS)

Gear End Play:



Clearance Between Baulk Ring And Gear 1st, 3rd, 4th, And 5th:



Reverse Baulk Ring:



Reverse Baulk Ring - 2nd Baulk Ring:



Available Snap Ring - 3rd And 4th Synchronizer Hub (At Input Shaft):



Available Snap Ring - 1st And 2nd Synchronizer Hub:



Available Snap Ring - 5th Main Gear:



Available Washer - Input Shaft Thrust Washer:



Available Washer - Differential Side Gear Thrust Washer - RS5F50A:



Available Washer - Differential Side Gear Thrust Washer - RS5F50V:



Available Shim - Bearing Preload And End Play:



Turning Torque (New Bearing):



Available Shim - Mainshaft Bearing Adjusting Shim:



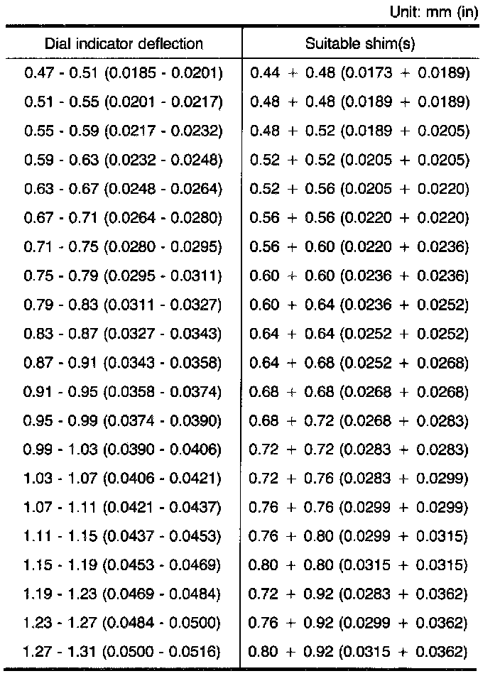
Available Shim - Table For Selecting Mainshaft Adjusting Shim:



Available Shim - Input Shaft Bearing Adjusting Shim:



Available Shim - Table For Selecting Input Shaft Bearing Adjusting Shim:



Available Shim - Differential Side Bearing Adjusting Shim - RS5F50A:



Available Shim - Table For Selecting Differential Side Bearing Adjusting Shim(s) - RS5F50A:



Available Shim - Differential Side Bearing Adjusting Shim - RS5F50V:



Available Shim - Table For Selecting Differential Side Bearing Adjusting Shim(s) - RS5F50V: