Operation CHARM: Car repair manuals for everyone.
Manuals through 2025 now available!

Our trusted friends have launched a new website named LEMON, which has newer manuals. It also contains all the CHARM manuals.

LEMON is the spiritual successor to CHARM, I recommend you try it!

Link: lemon-manuals.la or lemon-manuals.org.ua

(Some people have issue connecting. LEMON is investigating. For now, use Firefox or change your DNS server)

Or, hide this message: temporarily or permanently

Ignition Timing: Testing and Inspection

IMPORTANT NOTES
- All adjustments must be correct to insure proper operation of the engine control system.
- The air fuel mixture is not adjustable.
- Base idle speed is adjustable.
- Closed loop idle speed is not adjustable.
- Base ignition timing is adjustable.
- Closed loop ignition timing is not adjustable.

PREPARATION
1. Make sure the following parts are in good order:
- Battery
- Ignition System
- Engine oil and coolant level
- Fuses
- Engine Control Module (ECM) harness connector
- Vacuum hoses
- Air intake system (oil filler cap, oil level gauge, etc.)
- Fuel pressure
- Engine compression
- Exhaust Gas Recirculation (EGR) operation
- Throttle valve
2. On A/C equipped models, checks should be carried out with the system OFF.
3. On A/T equipped models, checks should be done with the transaxle in NEUTRAL.
4. When measuring Carbon Monoxide (CO) percentage, insert probe more than 40 Cm (15.7 in) into tailpipe.
5. Turn off headlamps, heater blower, and rear defogger.
6. Keep front wheels pointed straight ahead.
7. Make the inspection after the radiator fan has stopped.

INSPECTION AND ADJUSTMENT PROCEDURE

- Follow the charts from top to bottom.
- Do not skip steps.
- Do not vary from chart direction.



Idle Speed/Ignition Timing/Mixture Ratio Inspection (1 Of 4):





CHART 1

Idle Speed/Ignition Timing/Mixture Ratio Inspection (2 Of 4):





CHART 2

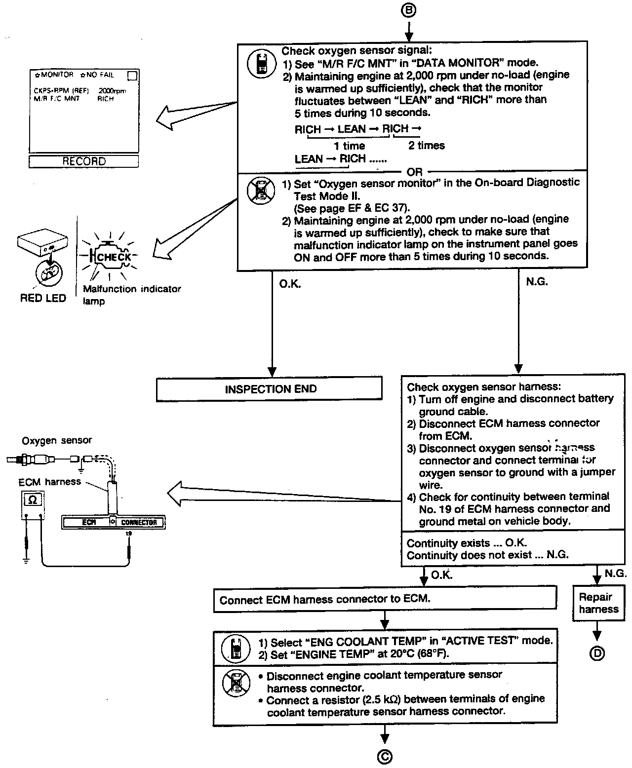
Idle Speed/Ignition Timing/Mixture Ratio Inspection (3 Of 4):





CHART 3

Idle Speed/Ignition Timing/Mixture Ratio Inspection (4 Of 4):





CHART 4