Operation CHARM: Car repair manuals for everyone.
Manuals through 2025 now available!

Our trusted friends have launched a new website named LEMON, which has newer manuals. It also contains all the CHARM manuals.

LEMON is the spiritual successor to CHARM, I recommend you try it!

Link: lemon-manuals.la or lemon-manuals.org.ua

(Some people have issue connecting. LEMON is investigating. For now, use Firefox or change your DNS server)

Or, hide this message: temporarily or permanently

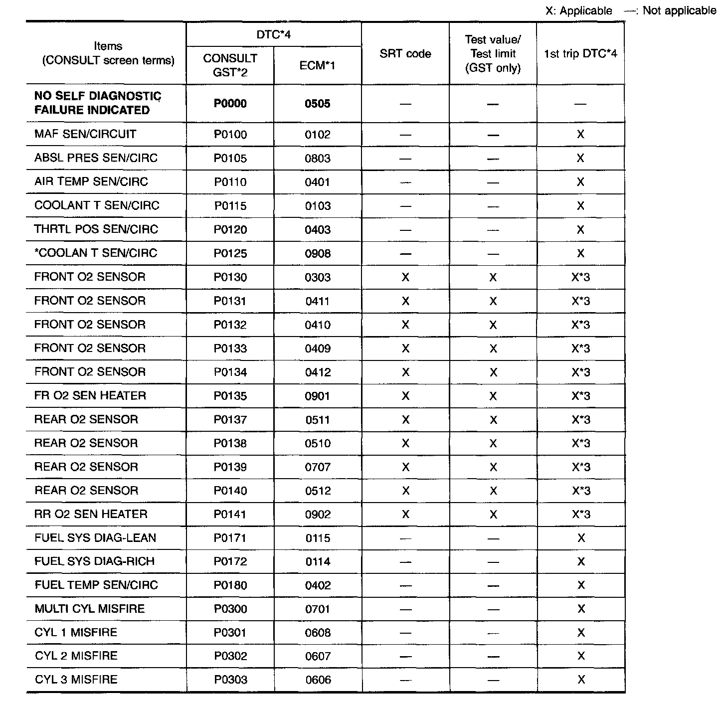
Mode 6 Data




TEST VALUE AND TEST LIMIT (GST ONLY - NOT APPLICABLE TO CONSULT)

The following is the information specified in Mode 6 of SAE J1979.

The test value is a parameter used to determine whether a system/circuit diagnostic test is "OK" or "NG" while being monitored by the ECM during self-diagnosis. The test limit is a reference value which is specified as the maximum or minimum value and is compared with the test value being monitored.

Items for which these data (test value and test limit) are displayed are the same as SRT code items (30 test items).

These data (test value and test limit) are specified by Test ID (TID) and Component ID (CID) and can be displayed on the GST screen.









TEST VALUE AND TEST LIMIT (GST ONLY - NOT APPLICABLE TO CONSULT-II)

The Following is the information specified in Mode 6 of SAE J1979.
The test value is a parameter used to determine whether system/circuit diagnostic test is "OK" or "NG" while being monitored by the ECM during self-diagnosis. The test limit is a reference value which is specified as the maximum or minimum value and is compared with the test value being monitored.
Items for which these data (test value and test limit) are displayed are the same as SRT code items.
These data (test value and test limit) are specified by Test ID (TID) and Component ID (CID). These data can be displayed on the GST screen.

Attachment 7:






EMISSION-RELATED DIAGNOSTICS INFORMATION ITEMS