Operation CHARM: Car repair manuals for everyone.
Manuals through 2025 now available!

Our trusted friends have launched a new website named LEMON, which has newer manuals. It also contains all the CHARM manuals.

LEMON is the spiritual successor to CHARM, I recommend you try it!

Link: lemon-manuals.la or lemon-manuals.org.ua

(Some people have issue connecting. LEMON is investigating. For now, use Firefox or change your DNS server)

Or, hide this message: temporarily or permanently

Consult Diagnostic Test Modes

Part 1 Of 2:




Part 2 Of 2:




DIAGNOSTIC TEST MODE FUNCTION







Work Support This mode enables a technician to adjust some devices faster and more accurately by following the indications on the CONSULT unit.




Self-Diagnostic Results Self-diagnostic results such as 1st trip DTC, DTCs and 1st trip freeze frame data or freeze frame data can be read and erased quickly. *1

NOTE: Regarding items of "DTC and 1st trip DTC", refer to "Trouble Diagnosis - index"














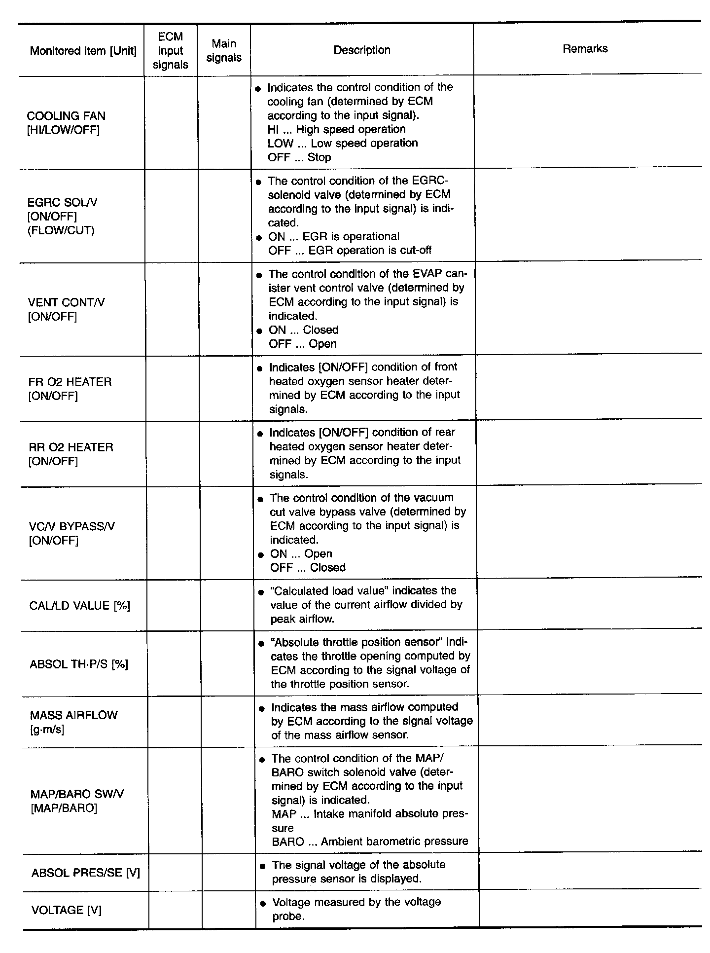
Data Monitor Input-Output data in the ECM can be read.

NOTE:Any Monitored item that does not match the vehicle being diagnosed is deleted from the display automatically.







Active Tests Diagnostic Test Mode in which CONSULT drives some actuators apart from the ECMs and also shifts some parameters in a specified range.




DTC Confirmation The status of system monitoring tests and the self-diagnosis status/result can be confirmed.







Function Test Conducted by CONSULT instead of a technician to determine whether each system is "OK" or "NG".

ECM Part Number ECM part number can be read.

* 1: The following emission-related diagnostic information is cleared when the ECM memory is erased.

1. Diagnostic trouble codes
2. 1st trip diagnostic trouble codes
3. Freeze frame data
4. 1st trip freeze frame data
5. System readiness test (SRT) codes
6. Test values
7. Others





REAL TIME DIAGNOSIS IN DATA MONITOR MODE (Recording vehicle data)
CONSULT has two kinds of triggers and they can be selected by touching "SETTING" in "DATA MONITOR" mode.

1. "AUTO TRIG" (Automatic trigger):
The malfunction will be identified on the CONSULT screen in real time.
In other words, DTC/1st trip DTC and malfunction item will be displayed at the moment the malfunction is detected by ECM.
DATA MONITOR can be performed continuously until a malfunction is detected. However, DATA MONITOR cannot continue any longer after the malfunction detection.

2. "MANU TRIG" (Manual trigger):
DTC/1st trip DTC and malfunction item will not be displayed automatically on CONSULT screen even though a malfunction is detected by ECM.
DATA MONITOR can be performed continuously even though a malfunction is detected.

Use these triggers as follows:

1. "AUTO TRIG"
- While trying to detect the DTC/1st trip DTC by performing the "DTC CONFIRMATION PROCEDURE", be sure to select to "DATA MONITOR (AUTO TRIG)" mode. You can confirm the malfunction at the moment it is detected.
- While narrowing down the possible causes, CONSULT should be set in "DATA MONITOR (AUTO TRIG)" mode, especially in case the incident is intermittent.
When you are inspecting the circuit by gently shaking (or twisting) the suspicious connectors, components and harness in the "DTC CONFIRMATION PROCEDURE", the moment a malfunction is found the DTC/1st trip DTC will be displayed. (Refer to "Incident Simulation Tests".)

2. "MANU TRIG"
If the malfunction is displayed as soon as "DATA MONITOR" is selected, reset CONSULT to "MANU TRIG". By selecting "MANU TRIG" you can monitor and store the data. The data can be utilized for further diagnosis, such as a comparison with the value for the normal operating condition.