Operation CHARM: Car repair manuals for everyone.
Manuals through 2025 now available!

Our trusted friends have launched a new website named LEMON, which has newer manuals. It also contains all the CHARM manuals.

LEMON is the spiritual successor to CHARM, I recommend you try it!

Link: lemon-manuals.la or lemon-manuals.org.ua

(Some people have issue connecting. LEMON is investigating. For now, use Firefox or change your DNS server)

Or, hide this message: temporarily or permanently

System Specifications

SERVICE DATA AND SPECIFICATIONS (SDS)
H233B





2WD Model





4WD Model





Ring Gear Runout





Side Gear Adjustment





Differential Torque Adjustment (LSD Models)





Total Preload Adjustment





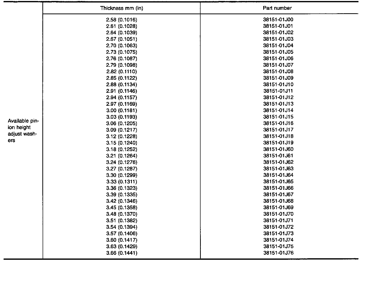
Drive Pinion Height Adjustment





Drive Pinion Preload Adjustment