Operation CHARM: Car repair manuals for everyone.
Manuals through 2025 now available!

Our trusted friends have launched a new website named LEMON, which has newer manuals. It also contains all the CHARM manuals.

LEMON is the spiritual successor to CHARM, I recommend you try it!

Link: lemon-manuals.la or lemon-manuals.org.ua

(Some people have issue connecting. LEMON is investigating. For now, use Firefox or change your DNS server)

Or, hide this message: temporarily or permanently

Mode 6 Data








TEST VALUE AND TEST LIMIT (GST ONLY - NOT APPLICABLE TO CONSULT-II)

The following is the information specified in Mode 6 of SAE J1979.
The test value is a parameter used to determine whether a system/circuit diagnostic test is "OK" or "NG" white being monitored by the ECM during self-diagnosis. The test limit is a reference value which is specified as the maximum or minimum value and is compared with the test value being monitored.

Items for which these data (test value and test limit) are displayed are the same as SRT code items (30 test items).
These data (test value and test limit) are specified by Test ID (TID) and Component ID (CID) and can be displayed on the GST screen.

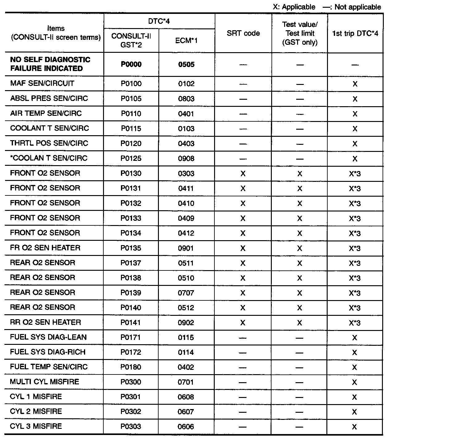
P0000 - P0303:




P0304 - P1336:




P1400 - P1760:






EMISSION-RELATED DIAGNOSTIC INFORMATION ITEMS

*1: In Diagnostic Test Mode II (Self-diagnostic results). These numbers are controlled by NISSAN.

*2: These numbers are prescribed by SAE J2012.

*3: These are not displayed with GST.

*4:1st trip DTC No. is the same as DTC No.