Operation CHARM: Car repair manuals for everyone.
Manuals through 2025 now available!

Our trusted friends have launched a new website named LEMON, which has newer manuals. It also contains all the CHARM manuals.

LEMON is the spiritual successor to CHARM, I recommend you try it!

Link: lemon-manuals.la or lemon-manuals.org.ua

(Some people have issue connecting. LEMON is investigating. For now, use Firefox or change your DNS server)

Or, hide this message: temporarily or permanently

System Specifications

General Specifications





TRANSAXLE





FINAL GEAR





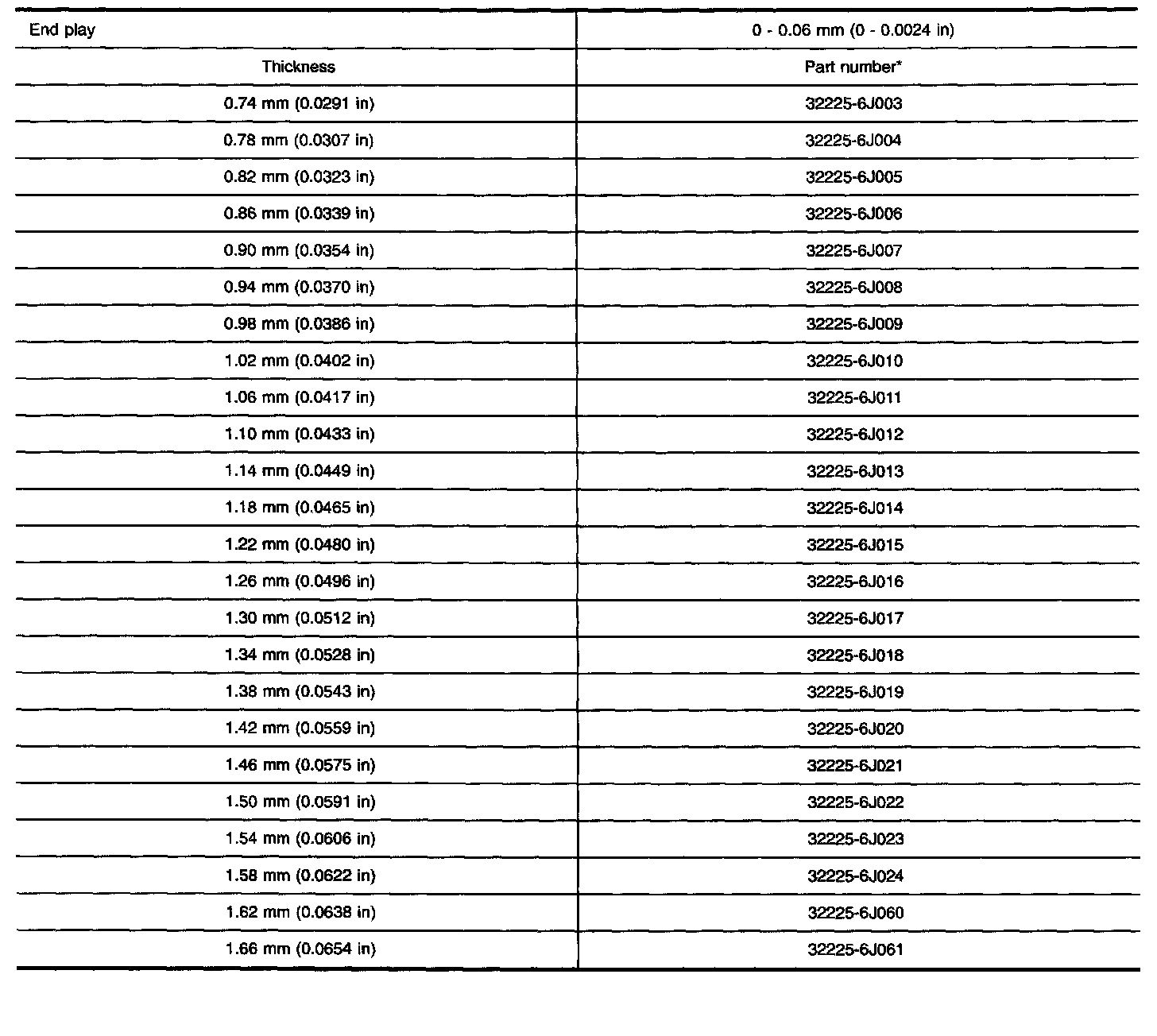
Gear End Play

Clearance Between Baulk Ring and Gear





3RD, 4TH, 5TH, REVERSE BAULK RING





1ST AND 2ND BAULK RING

Available Snap Rings





SNAP RING

Available C-Rings





4TH INPUT GEAR C-RING





5TH INPUT GEAR REAR C-RING





MAINSHAFT C-RING

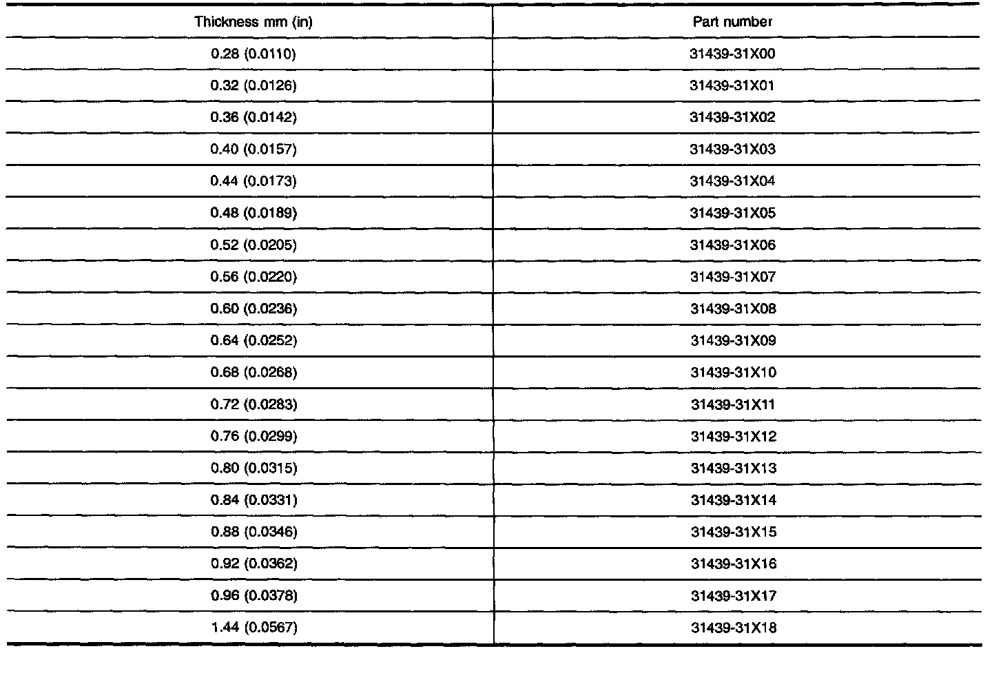
Available Adjusting Shims





INPUT SHAFT REAR BEARING ADJUSTING SHIM





MAINSHAFT ADJUSTING SHIM





MAINSHAFT REAR BEARING ADJUSTING SHIM

Available Thrust Washer





INPUT SHAFT REAR BEARING ADJUSTING SHIM

Available Washers
INPUT SHAFT REAR BEARING ADJUSTING SHIM





-RS5F70A-








-RS5F70V-

Available Shims - Differential Side Bearing Preload and Adjusting Shim





BEARING PRELOAD

DIFFERENTIAL SIDE BEARING ADJUSTING SHIMS





-RS5F70A-





-RS5F70V-