Operation CHARM: Car repair manuals for everyone.
Manuals through 2025 now available!

Our trusted friends have launched a new website named LEMON, which has newer manuals. It also contains all the CHARM manuals.

LEMON is the spiritual successor to CHARM, I recommend you try it!

Link: lemon-manuals.la or lemon-manuals.org.ua

(Some people have issue connecting. LEMON is investigating. For now, use Firefox or change your DNS server)

Or, hide this message: temporarily or permanently

Keyless Entry Transmitter: Testing and Inspection

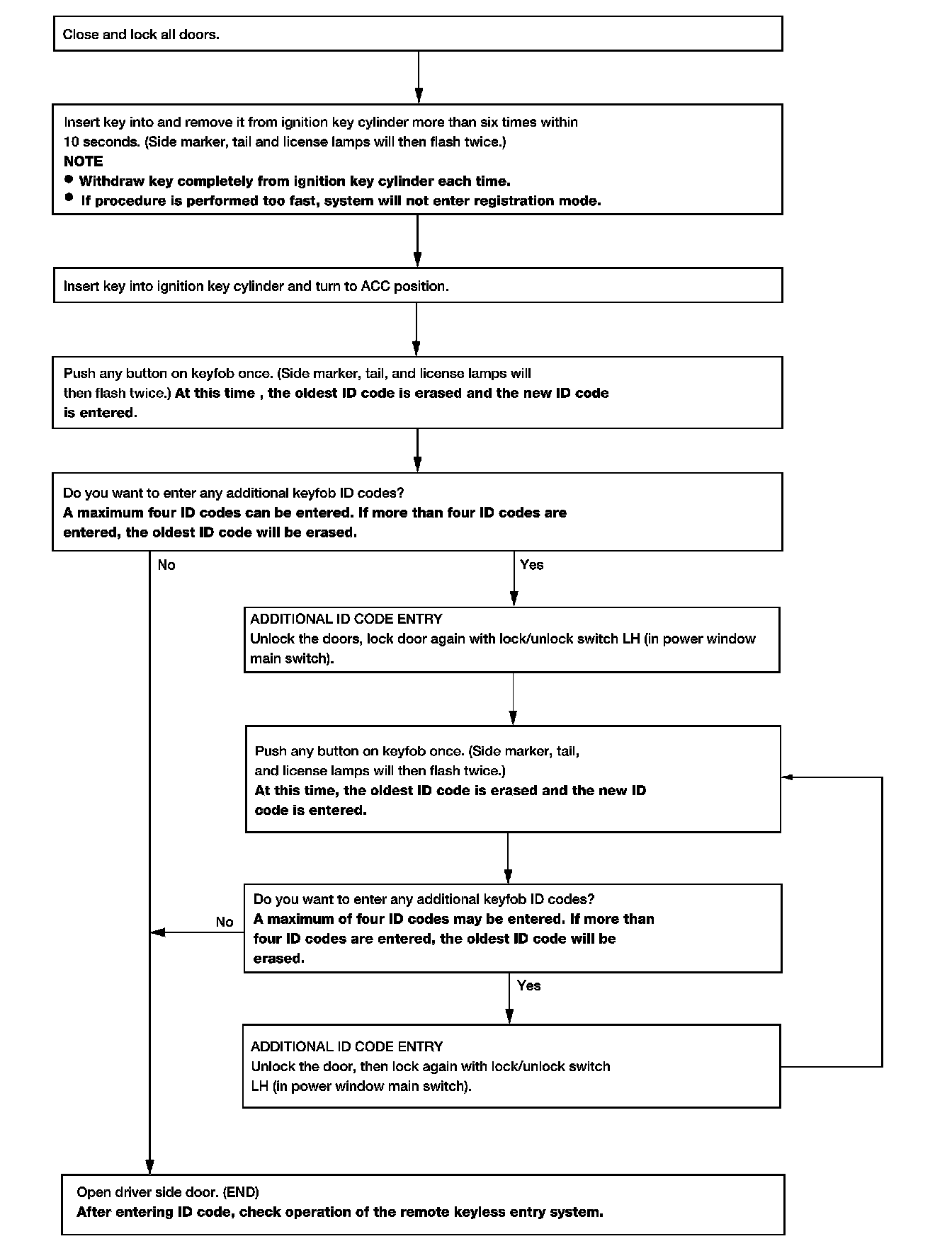
ID Code Entry Procedure:






NOTE: If a keyfob is lost, the ID code of the lost keyfob must be erased to prevent unauthorized use. To erase all ID codes in memory, register one ID code (keyfob) four times. After all codes are erased, the ID codes of all remaining and/or new keyfobs must be re-registered.

When registering an additional keyfob, the existing ID codes in memory may or may not be erased. If four ID codes are stored in memory, when an additional code is registered, only the oldest code is erased. If less than four ID codes are stored in memory, when an additional ID code is registered the new ID code is added and no ID codes are erased.

If you need to activate more than two new keyfobs, repeat the procedure "Additional ID code entry" for each additional new keyfob.

A maximum of four ID codes may be entered. When more than four ID codes are entered, the oldest ID code will be erased.

For the procedure to memorize position for automatic drive positioner, refer to "PROCEDURE FOR STORING KEYFOB".

Even if the same ID code that is already in the memory is input, the same ID code can be entered. The code is counted as an additional code.