Operation CHARM: Car repair manuals for everyone.
Manuals through 2025 now available!

Our trusted friends have launched a new website named LEMON, which has newer manuals. It also contains all the CHARM manuals.

LEMON is the spiritual successor to CHARM, I recommend you try it!

Link: lemon-manuals.la or lemon-manuals.org.ua

(Some people have issue connecting. LEMON is investigating. For now, use Firefox or change your DNS server)

Or, hide this message: temporarily or permanently

System Specifications

Control Cable:



Overhaul / 1 Of 3:



Overhaul / 2 Of 3:



Overhaul / 3 Of 3:



7�@:



Overhaul / OIL CHANNEL:



Locations of Adjusting Shims, Needle Bearings, Thrust Washers and Snap Rings:



Manual Shaft:



Oil Pump:



Control Valve Assembly:



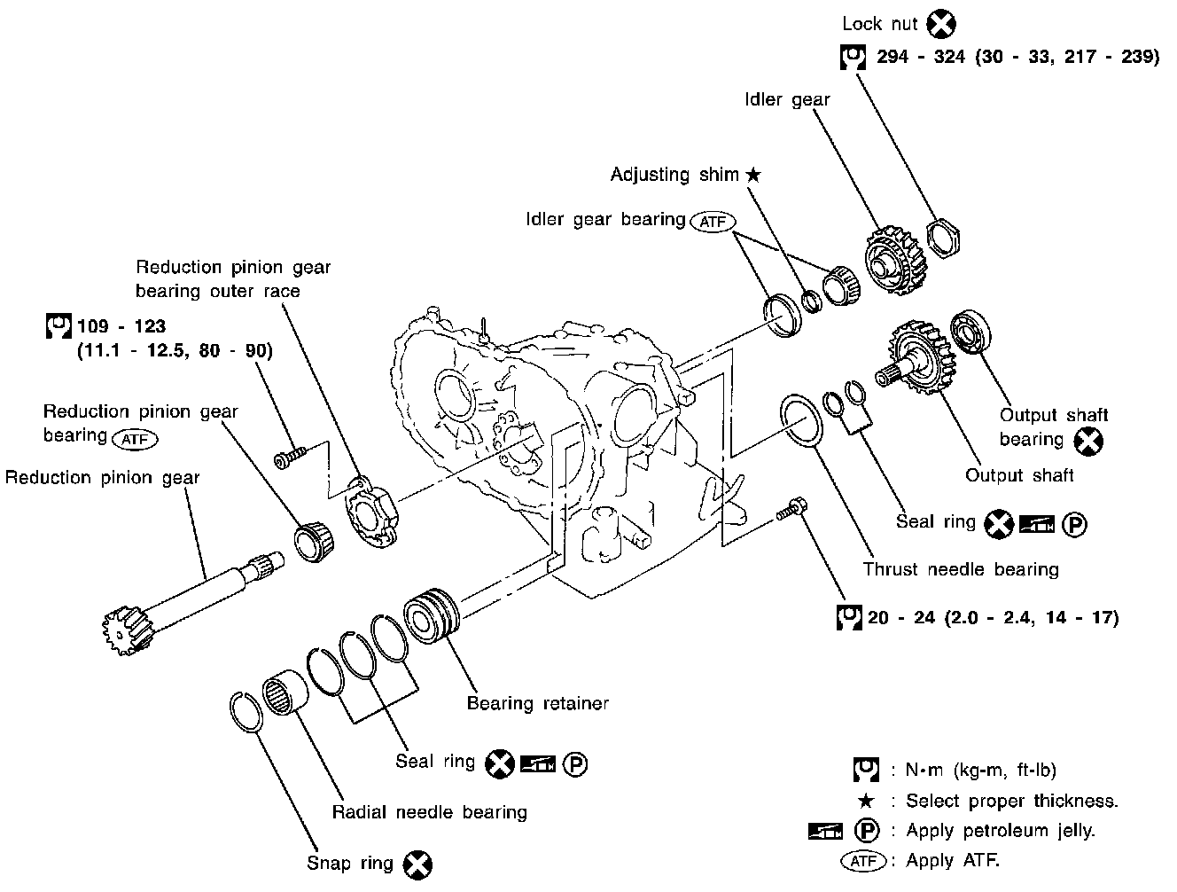
Output Shaft, Idler Gear, Reduction Pinion Gear and Bearing Retainer:



Band Servo Piston Assembly:



Final Drive:



General Specifications:



Shift Schedule / Vehicle Speed When Shifting Gears Throttle Position:



Shift Schedule / Vehicle Speed When Performing And Releasing Lock-Up:



Stall Revolution:



Control Valve And Plug Return Springs:



Accumulator / O-Ring:



Accumulator / Return Spring:



Reverse Clutch:



High Clutch:



Forward Clutch:



Overrun Clutch:



Low & Reverse Brake:



Brake Band:



Final Drive / Differential Side Gear Clearance:



Final Drive / Differential Side Gear Thrust Washers:



Final Drive / Differential Side Bearing Preload Adjusting Shims:



Final Drive / Bearing Preload:



Final Drive / Turning Torque:



Final Drive / Clutch And Brake Return Springs:



Planetary Carrier:



Oil Pump:



Input Shaft:



Reduction Pinion Gear / Turning Torque:



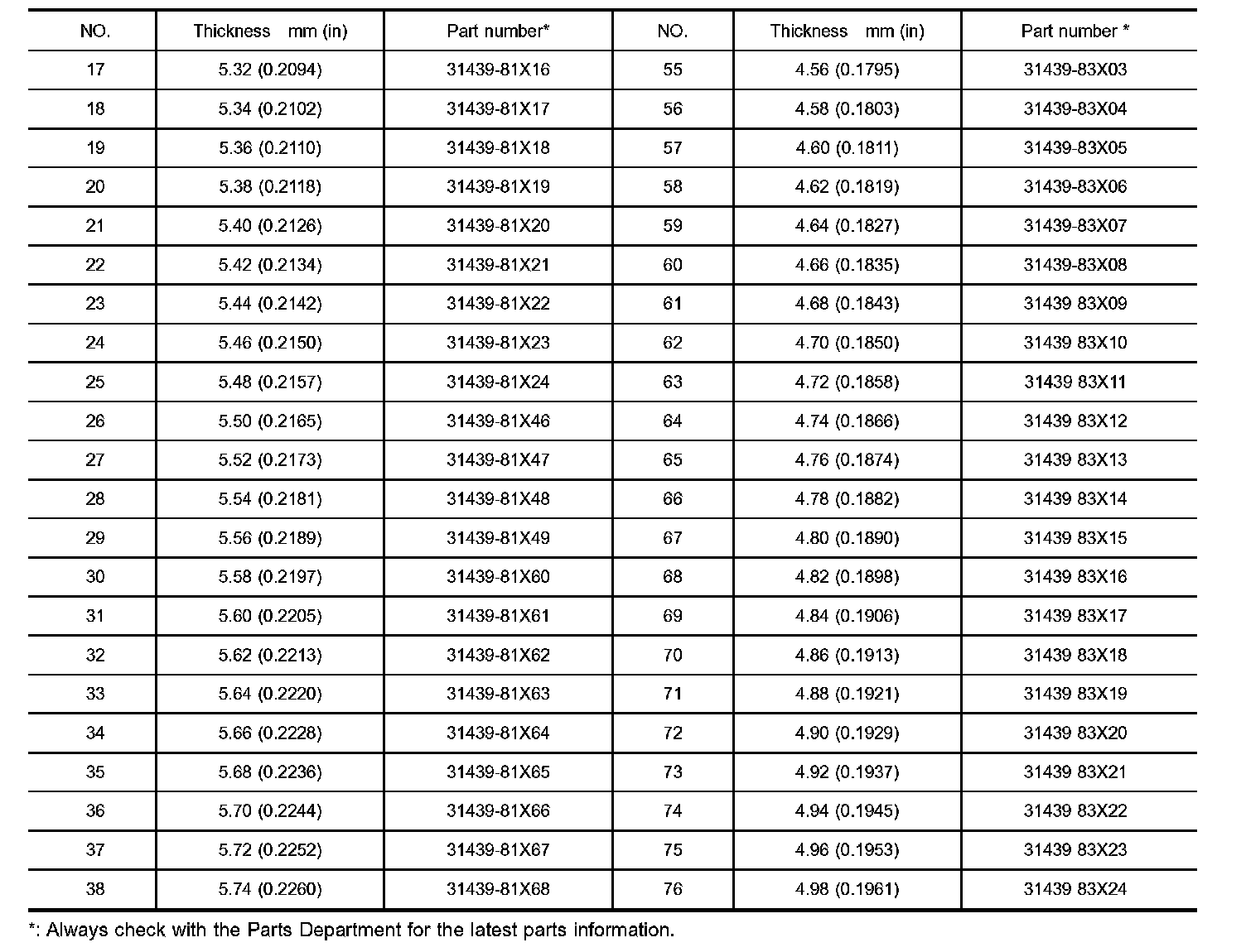
Reduction Pinion Gear / Reduction Pinion Gear Bearing Adjusting Shims:



Reduction Pinion Gear / Reduction Pinion Gear Bearing Adjusting Shims:



Band Servo / Return Spring:



Output Shaft / Seal Ring Clearance:



Output Shaft / End Play:



Output Shaft Adjusting Shims:



Bearing Retainer / Seal Ring Clearance:



Total End Play:



Total End Play / Bearing Race For Adjusting Total End Play:



Reverse Clutch End Play:



Thrust Washers For Adjusting Reverse Clutch Drum End Play:



Converter Housing / Torque Converter:



Shift Solenoid Valves: