Operation CHARM: Car repair manuals for everyone.
Manuals through 2025 now available!

Our trusted friends have launched a new website named LEMON, which has newer manuals. It also contains all the CHARM manuals.

LEMON is the spiritual successor to CHARM, I recommend you try it!

Link: lemon-manuals.la or lemon-manuals.org.ua

(Some people have issue connecting. LEMON is investigating. For now, use Firefox or change your DNS server)

Or, hide this message: temporarily or permanently

Keyless Entry Transmitter: Testing and Inspection

ID Code Entry Procedure

KEYFOB ID SET UP WITH CONSULT-II

NOTE: If a keyfob is lost, the ID code of the lost keyfob must be erased to prevent unauthorized use. When the ID code of a lost keyfob is not known, all keyfob ID codes should be erased. After all ID codes are erased, the ID codes of all remaining and/or new keyfobs must be re-registered.

1. Turn ignition switch "OFF".




2. Connect "CONSULT-II" to the data link connector.




3. Turn ignition switch "ON".
4. Touch "START".




5. Touch "SMART ENTRANCE".




6. Touch "MULTI REMOTE ENT".




7. Touch "WORK SUPPORT".




8. The items are shown that can be set up.
- "REMO CONT ID CONFIR".
Use this mode to confirm if a keyfob ID code is registered or not.

- "REMO CONT ID REGIST"

NOTE: Register the ID code when keyfob or smart entrance control unit is replaced, or when additional keyfob is required.

- "REMO CONT ID ERASUR"
Use this mode to erase a keyfob ID code.

- "HZRD REM SET"
Use this mode to activate or deactivate the hazard and horn reminder.

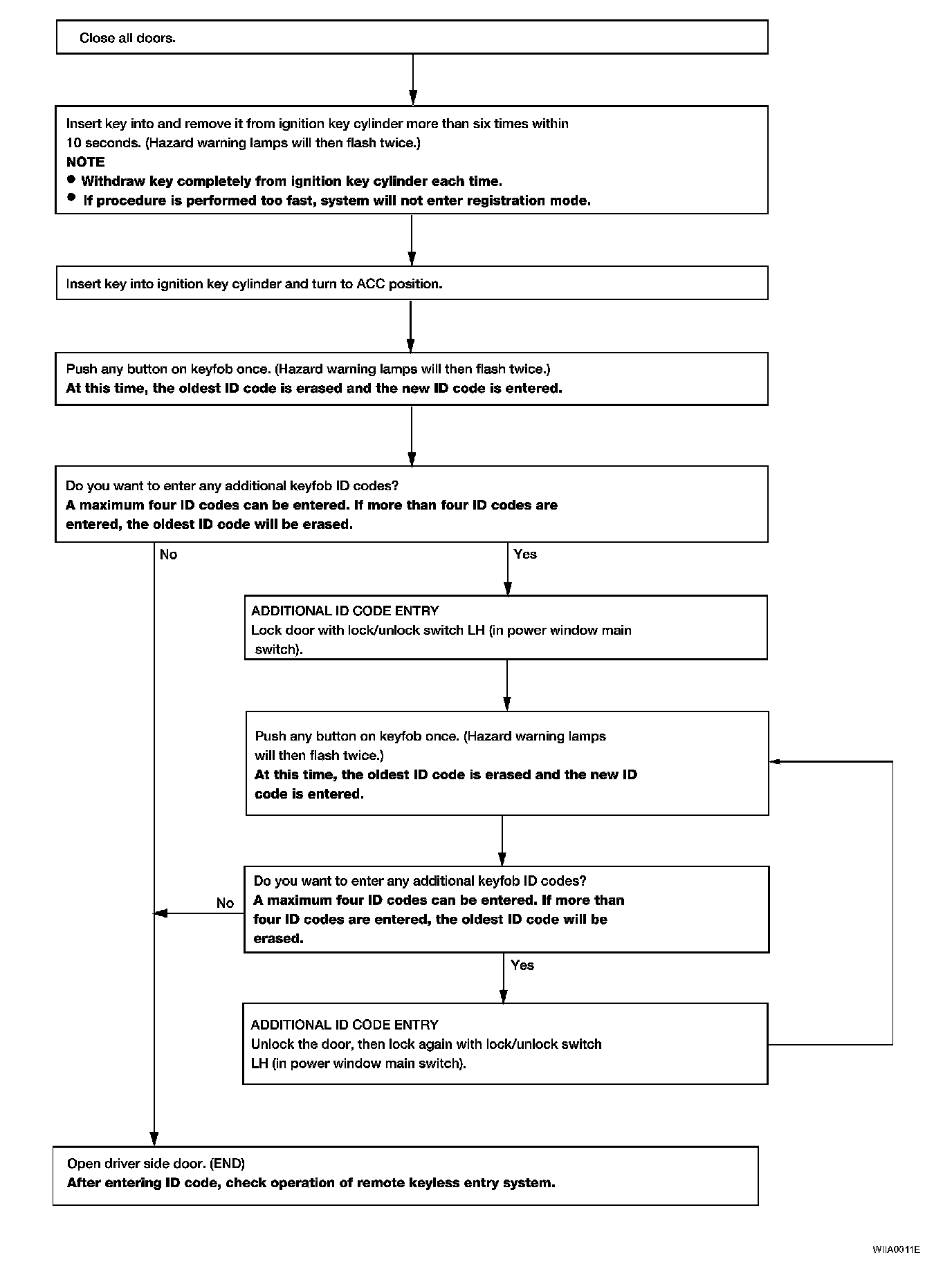
Keyfob ID Set Up Without Consult-II:




KEYFOB ID SET UP WITHOUT CONSULT-II

NOTE:
- If a keyfob is lost, the ID code of the lost keyfob must be erased to prevent unauthorized use. A specific ID code can be erased with CONSULT-II. However, when the ID code of a lost keyfob is not known, all keyfob ID codes should be erased. After all ID codes are erased, the ID codes of all remaining and/or new keyfobs must be re-registered.
To erase all ID codes in memory, register one ID code (keyfob) four times. After all ID codes are erased, the ID codes of all remaining and/or new keyfobs must be re-registered.
- When registering an additional keyfob, the existing ID codes in memory may or may not be erased. If four ID codes are stored in memory, when an additional code is registered, only the oldest code is erased. If less than four ID codes are stored in memory, when an additional ID code is registered, the new ID code is added and no ID codes are erased.
- If you need to activate more than two additional new keyfobs, repeat the procedure "Additional ID code entry" for each new keyfob.
- Entry of maximum four ID codes is allowed. When more than four ID codes are entered, the oldest ID code will be erased.
- Even if same ID code that is already in the memory is input, the same ID code can be entered. The code is counted as an additional code.