Operation CHARM: Car repair manuals for everyone.
Manuals through 2025 now available!

Our trusted friends have launched a new website named LEMON, which has newer manuals. It also contains all the CHARM manuals.

LEMON is the spiritual successor to CHARM, I recommend you try it!

Link: lemon-manuals.la or lemon-manuals.org.ua

(Some people have issue connecting. LEMON is investigating. For now, use Firefox or change your DNS server)

Or, hide this message: temporarily or permanently

System Specifications





General Specifications

Shift Schedule
VEHICLE SPEED WHEN SHIFTING GEARS





QG18DE (Calif. CA Model)





QG18DE (Except Calif. CA Model)

VEHICLE SPEED WHEN PERFORMING LOCK-UP





QG18DE (Calif. CA Model)





QG18DE (Except Calif. CA Model)





Stall Revolution





Line Pressure

Control Valves





CONTROL VALVE AND PLUG RETURN SPRINGS

Clutch, Brake and Brake Band





REVERSE CLUTCH





HIGH CLUTCH





FORWARD CLUTCH





OVERRUN CLUTCH








LOW & REVERSE BRAKE





BRAKE BAND





Clutch and Brake Return Springs





Oil Pump





Input Shaft





Planetary Carrier

Final Drive





DIFFERENTIAL SIDE GEAR CLEARANCE





DIFFERENTIAL SIDE GEAR THRUST WASHERS





BEARING PRELOAD





TURNING TORQUE





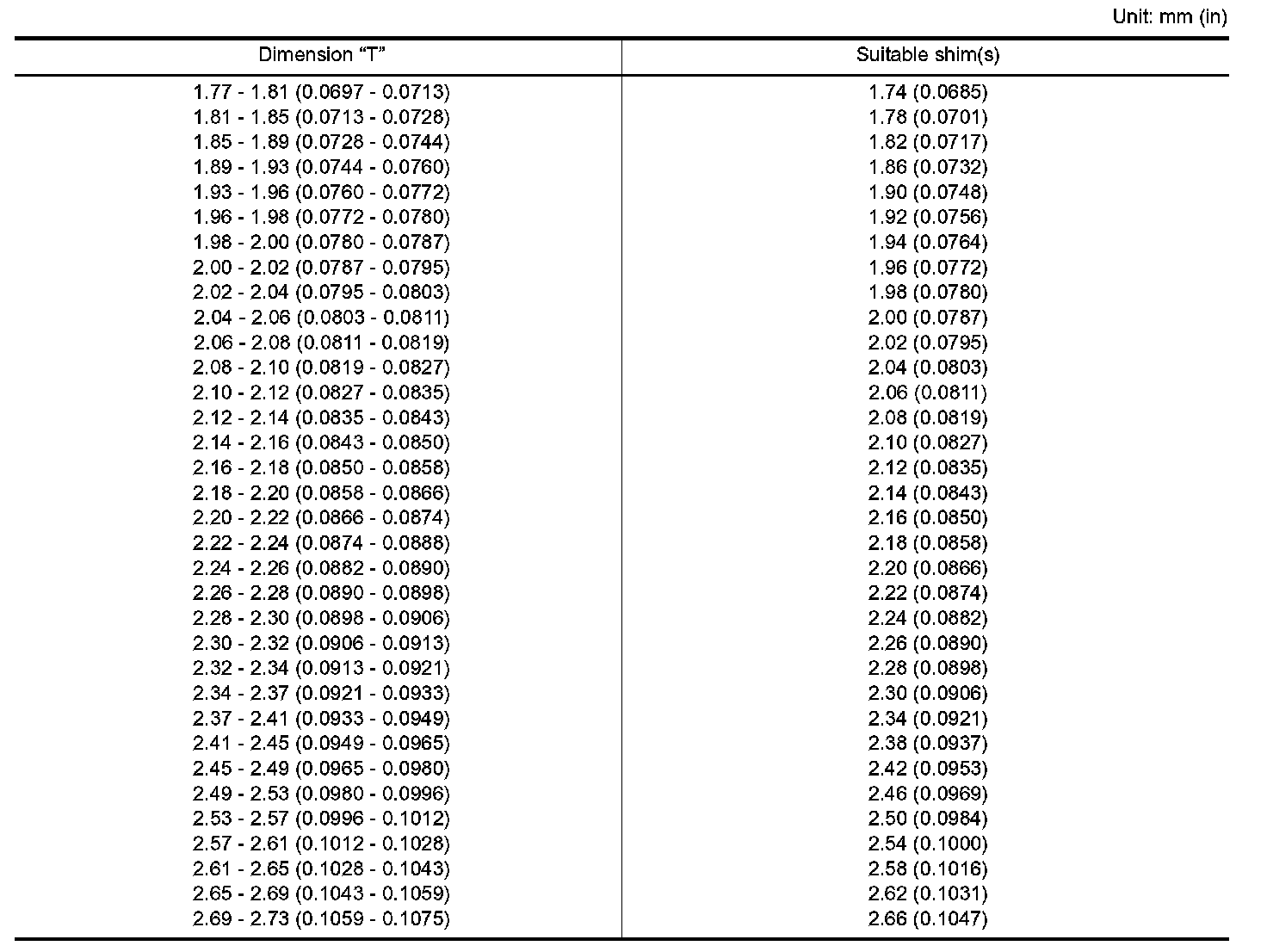
DIFFERENTIAL SIDE BEARING ADJUSTING SHIMS





TABLE FOR SELECTING DIFFERENTIAL SIDE BEARING ADJUSTING SHIMS

Reduction Pinion Gear





BEARING PRELOAD





TURNING TORQUE





REDUCTION PINION GEAR BEARING ADJUSTING SHIMS





TABLE FOR SELECTING REDUCTION PINION GEAR BEARING ADJUSTING SHIM

Output Shaft





SEAL RING CLEARANCE





END PLAY





OUTPUT SHAFT END PLAY ADJUSTING SHIMS

Bearing Retainer





SEAL RING CLEARANCE





Total End Play





BEARING RACE FOR ADJUSTING TOTAL END PLAY





Reverse Clutch End Play





THRUST WASHERS FOR ADJUSTING REVERSE CLUTCH END PLAY

Accumulator





D-RING





RETURN SPRING

Band Servo





RETURN SPRING





Removal and Installation





Shift Solenoid Valves





Solenoid Valve





A/T Fluid Temperature Sensor





Revolution Sensor





Dropping Resistor