Operation CHARM: Car repair manuals for everyone.
Manuals through 2025 now available!

Our trusted friends have launched a new website named LEMON, which has newer manuals. It also contains all the CHARM manuals.

LEMON is the spiritual successor to CHARM, I recommend you try it!

Link: lemon-manuals.la or lemon-manuals.org.ua

(Some people have issue connecting. LEMON is investigating. For now, use Firefox or change your DNS server)

Or, hide this message: temporarily or permanently

Driving Pattern

Driving Pattern






- The time required for each diagnosis varies with road surface conditions, weather, altitude, individual driving habits, etc.
Zone A refers to the range where the time, required for the diagnosis under normal conditions*, is the shortest.
Zone B refers to the range where the diagnosis can still be performed if the diagnosis is not completed within zone A.

*: Normal conditions refer to the following:
- Sea level
- Flat road
- Ambient air temperature: 20 - 30 °C (68 - 86 °F)
- Diagnosis is performed as quickly as possible under normal conditions.
Under different conditions [For example: ambient air temperature other than 20 - 30 °C (68 - 86 °F)], diagnosis may also be performed.

Pattern 1:
- The engine is started at the engine coolant temperature of -10 to 35 °C (14 to 95 °F)
(where the voltage between the ECM terminal 46 and ground is 3.0 - 4.3 V).
- The engine must be operated at idle speed until the engine coolant temperature is greater than 70 °C (158 °F) (where the voltage between the ECM terminal 46 and ground is lower than 1.4 V).
- The engine is started at the fuel tank temperature of warmer than 0 °C (32 °F) (where the voltage between the ECM terminal 95 and ground is less than 4.1 V).

Pattern 2:
- When steady-state driving is performed again even after it is interrupted, each diagnosis can be conducted.
In this case, the time required for diagnosis may be extended.




Pattern 3:
- Operate vehicle following the driving pattern shown in the figure.
- Release the accelerator pedal during decelerating vehicle speed from 90 km/h (56 MPH) to 0 km/h (0 MPH).

Pattern 4:
- The accelerator pedal must be held very steady during steady state driving.
- If the accelerator pedal is moved, the test must be conducted all over again.

*1: Depress the accelerator pedal until vehicle speed is 90 km/h (56 MPH), then release the accelerator pedal and keep it released for more than 10 seconds. Depress the accelerator pedal until vehicle speed is 90 km/h (56 MPH) again.
*2: Checking the vehicle speed with GST is advised.

Suggested Transmission Gear Position for CVT Models
Set the selector lever in the D position.

Suggested upshift speeds for M/T models
Shown below are suggested vehicle speeds for shifting into a higher gear. These suggestions relate to fuel economy and vehicle performance. Actual upshift speeds will vary according to road conditions, the weather and individual driving habits.






Suggested Maximum Speed in Each Gear
Downshift to a lower gear if the engine is not running smoothly, or if you need to accelerate.
Do not exceed the maximum suggested speed in any gear. For level road driving, use the highest gear suggested for that speed. Always observe posted speed limits and drive according to the road conditions to ensure safe operation. Do not over-rev the engine when shifting to a lower gear as it may cause engine damage or loss of vehicle control.









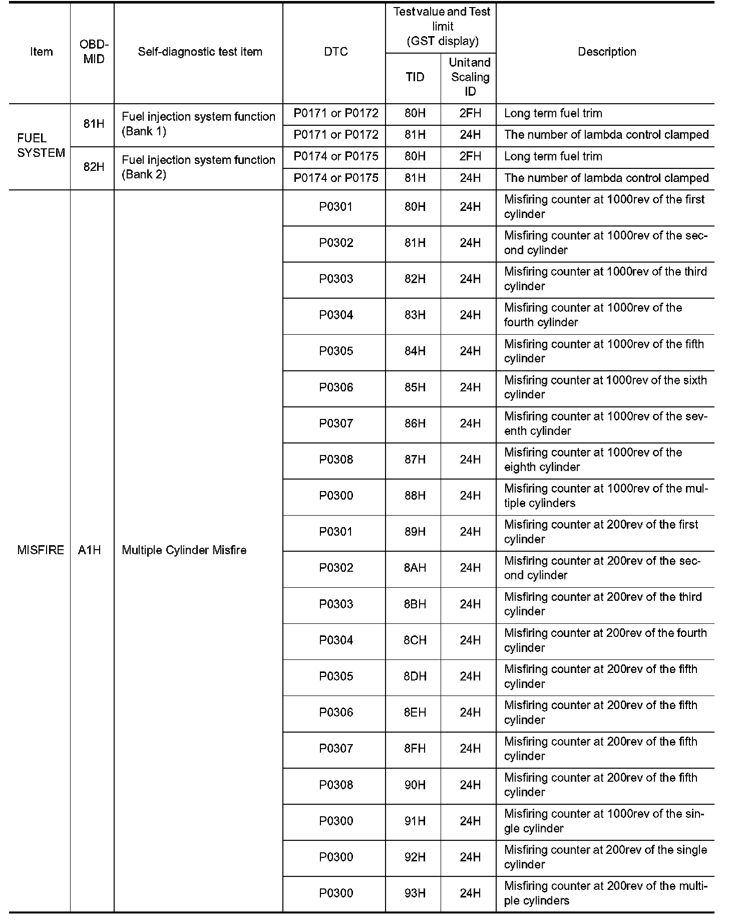
TEST VALUE AND TEST LIMIT (GST ONLY - NOT APPLICABLE TO CONSULT-III)
The following is the information specified in Service $06 of SAE J1979.
The test value is a parameter used to determine whether a system/circuit diagnostic test is OK or NG while being monitored by the ECM during self-diagnosis. The test limit is a reference value which is specified as the maximum or minimum value and is compared with the test value being monitored.

These data (test value and test limit) are specified by On Board Monitor ID(OBDMID), Test ID (TID), Unit and Scaling ID and can be displayed on the GST screen.

The items of the test value and test limit will be displayed with GST screen which items are provided by the ECM. (eg., if the bank 2 is not applied on this vehicle, only the items of the bank 1 is displayed)