Operation CHARM: Car repair manuals for everyone.
Manuals through 2025 now available!

Our trusted friends have launched a new website named LEMON, which has newer manuals. It also contains all the CHARM manuals.

LEMON is the spiritual successor to CHARM, I recommend you try it!

Link: lemon-manuals.la or lemon-manuals.org.ua

(Some people have issue connecting. LEMON is investigating. For now, use Firefox or change your DNS server)

Or, hide this message: temporarily or permanently

Mode 6 Data





ON BOARD DIAGNOSTIC (OBD) SYSTEM


Emission-related Diagnostic Information


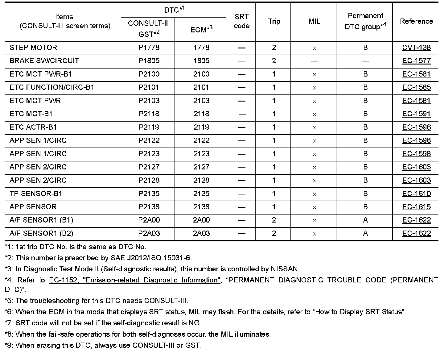
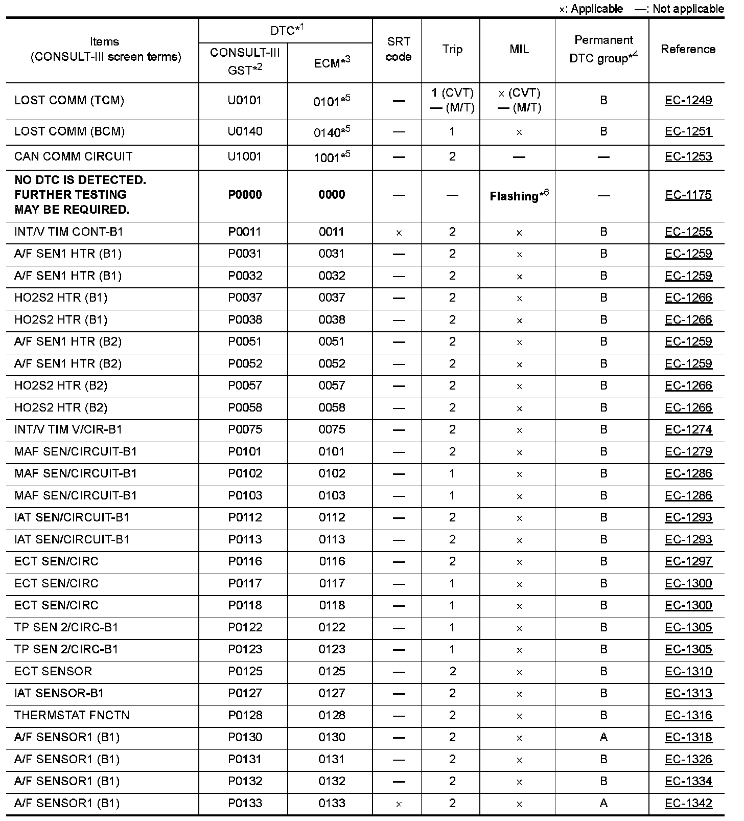
EMISSION-RELATED DIAGNOSTIC INFORMATION ITEMS





















DTC AND 1ST TRIP DTC
The 1st trip DTC (whose number is the same as the DTC number) is displayed for the latest self-diagnostic result obtained. If the ECM memory was cleared previously, and the 1st trip DTC did not reoccur, the 1st trip
DTC will not be displayed.
If a malfunction is detected during the 1st trip, the 1st trip DTC is stored in the ECM memory. The MIL will not illuminate (two trip detection logic). If the same malfunction is not detected in the 2nd trip (meeting the required driving pattern), the 1st trip DTC is cleared from the ECM memory. If the same malfunction is detected in the
2nd trip, both the 1st trip DTC and DTC are stored in the ECM memory and the MIL illuminates. In other words, the DTC is stored in the ECM memory and the MIL illuminates when the same malfunction occurs in two consecutive trips. If a 1st trip DTC is stored and a non-diagnostic operation is performed between the 1st and 2nd trips, only the 1st trip DTC will continue to be stored. For malfunctions that blink or illuminate the MIL during the 1st trip, the DTC and 1st trip DTC are stored in the ECM memory.
Procedures for clearing the DTC and the 1st trip DTC from the ECM memory are described in "HOW TO
ERASE EMISSION-RELATED DIAGNOSTIC INFORMATION".
For malfunctions in which 1st trip DTCs are displayed, refer to "EMISSION-RELATED DIAGNOSTIC INFORMATION ITEMS". These items are required by legal regulations to continuously monitor the system/component. In addition, the items monitored non-continuously are also displayed on CONSULT-III.
1st trip DTC is specified in Service $07 of SAE J1979/ISO 15031-5. 1st trip DTC detection occurs without illuminating the MIL and therefore does not warn the driver of a malfunction. However, 1st trip DTC detection will not prevent the vehicle from being tested, for example during Inspection/Maintenance (I/M) tests.
When a 1st trip DTC is detected, check, print out or write down and erase (1st trip) DTC and Freeze Frame data as specified in Work Flow procedure Step 2, Trouble Diagnosis Introduction. Then perform DTC Confirmation Procedure or Overall Function Check to try to duplicate the malfunction. If the malfunction is duplicated, the item requires repair.

How to Read DTC and 1st Trip DTC
DTC and 1st trip DTC can be read by the following methods.
WITH CONSULT-III
WITH GST
CONSULT-III or GST (Generic Scan Tool) Examples: P0340, P0850, P1148, etc.
These DTCs are prescribed by SAE J2012/ISO 15031-6.
(CONSULT-III also displays the malfunctioning component or system.)
NO TOOLS
The number of blinks of the MIL in the Diagnostic Test Mode II (Self-Diagnostic Results) indicates the DTC.
Example: 0340, 0850, 1148, etc.
These DTCs are controlled by NISSAN.
- 1st trip DTC No. is the same as DTC No.
- Output of a DTC indicates a malfunction. However, GST and the Diagnostic Test Mode II do not indicate whether the malfunction is still occurring or has occurred in the past and has returned to normal. CONSULT-III can identify malfunction status as shown below. Therefore, using CONSULT-III (if available) is recommended.
DTC or 1st trip DTC of a malfunction is displayed in SELF-DIAGNOSTIC RESULTS mode of CONSULT-III.
Time data indicates how many times the vehicle was driven after the last detection of a DTC.
If the DTC is being detected currently, the time data will be [0].
If a 1st trip DTC is stored in the ECM, the time data will be [1t].

FREEZE FRAME DATA AND 1ST TRIP FREEZE FRAME DATA
The ECM records the driving conditions such as fuel system status, calculated load value, engine coolant temperature, short-term fuel trim, long-term fuel trim, engine speed, vehicle speed, absolute throttle position, base fuel schedule and intake air temperature at the moment a malfunction is detected.
Data which are stored in the ECM memory, along with the 1st trip DTC, are called 1st trip freeze frame data.
The data, stored together with the DTC data, are called freeze frame data and displayed on CONSULT-III or
GST. The 1st trip freeze frame data can only be displayed on the CONSULT-III screen, not on the GST. For details, see CONSULT-III Function (Engine).
Only one set of freeze frame data (either 1st trip freeze frame data or freeze frame data) can be stored in the ECM. 1st trip freeze frame data is stored in the ECM memory along with the 1st trip DTC. There is no priority for 1st trip freeze frame data and it is updated each time a different 1st trip DTC is detected. However, once freeze frame data (2nd trip detection/MIL on) is stored in the ECM memory, 1st trip freeze frame data is no longer stored. Remember, only one set of freeze frame data can be stored in the ECM. The ECM has the following priorities to update the data.





For example, the EGR malfunction (Priority: 2) was detected and the freeze frame data was stored in the 2nd trip. After that when the misfire (Priority: 1) is detected in another trip, the freeze frame data will be updated from the EGR malfunction to the misfire. The 1st trip freeze frame data is updated each time a different malfunction is detected. There is no priority for 1st trip freeze frame data. However, once freeze frame data is stored in the ECM memory, 1st trip freeze data is no longer stored (because only one freeze frame data or 1st trip freeze frame data can be stored in the ECM). If freeze frame data is stored in the ECM memory and freeze frame data with the same priority occurs later, the first (original) freeze frame data remains unchanged in the ECM memory.
Both 1st trip freeze frame data and freeze frame data (along with the DTCs) are cleared when the ECM memory is erased. Procedures for clearing the ECM memory are described in "EMISSION-RELATED DIAGNOSTIC INFORMATION ITEMS".

SYSTEM READINESS TEST (SRT) CODE
System Readiness Test (SRT) code is specified in Service $01 of SAE J1979/ISO 15031-5.
As part of an enhanced emissions test for Inspection & Maintenance (I/M), certain states require the status of
SRT be used to indicate whether the ECM has completed self-diagnosis of major emission systems and components. Completion must be verified in order for the emissions inspection to proceed.
If a vehicle is rejected for a State emissions inspection due to one or more SRT items indicating "INCMP", use the information to set the SRT to "CMPLT".
In most cases the ECM will automatically complete its self-diagnosis cycle during normal usage, and the SRT status will indicate "CMPLT" for each application system. Once set as "CMPLT", the SRT status remains
"CMPLT" until the self-diagnosis memory is erased.
Occasionally, certain portions of the self-diagnostic test may not be completed as a result of the customer's normal driving pattern; the SRT will indicate "INCMP" for these items.

NOTE:
- The SRT will also indicate "INCMP" if the self-diagnosis memory is erased for any reason or if the ECM memory power supply is interrupted for several hours.
If, during the state emissions inspection, the SRT indicates "CMPLT" for all test items, the inspector will continue with the emissions test. However, if the SRT indicates "INCMP" for one or more of the SRT items the vehicle is returned to the customer untested.
- If permanent DTC is stored or MIL illuminates during the state emissions inspection, the vehicle is also returned to the customer untested even though the SRT indicates "CMPLT" for all test items. Therefore, it is important to check SRT ("CMPLT"), DTC (No DTCs) and permanent DTC (No permanent DTCs) before the inspection.

SRT Item
The table below shows required self-diagnostic items to set the SRT to "CMPLT".






SRT Set Timing
SRT is set as "CMPLT" after self-diagnosis has been performed one or more times. Completion of SRT is done regardless of whether the result is OK or NG. The set timing is different between OK and NG results and is shown in the table below.






When all SRT related self-diagnosis showed OK results in a single cycle (Ignition OFF-ON-OFF), the SRT will indicate "CMPLT". to Case 1 above
When all SRT related self-diagnosis showed OK results through several different cycles, the SRT will indicate "CMPLT" at the time the respective self-diagnosis have at least one OK result. to Case 2 above
If one or more SRT related self-diagnosis showed NG results in 2 consecutive cycles, the SRT will also indicate "CMPLT". to Case 3 above
The table above shows that the minimum number of cycles for setting SRT as "INCMP" is one (1) for each self-diagnosis (Case 1 & 2) or two (2) for one of self-diagnosis (Case 3). However, in preparation for the state emissions inspection, it is unnecessary for each self-diagnosis to be executed twice (Case 3) for the following reasons:
- The SRT will indicate "CMPLT" at the time the respective self-diagnosis have one (1) OK result.
- The emissions inspection requires "CMPLT" of the SRT only with OK self-diagnosis results.
- When, during SRT driving pattern, 1st trip DTC (NG) is detected prior to "CMPLT" of SRT, the self-diagnosis memory must be erased from ECM after repair.
- If the 1st trip DTC is erased, all the SRT will indicate "INCMP".

NOTE:
SRT can be set as "CMPLT" together with the DTC(s). Therefore, DTC check must always be carried out prior to the state emission inspection even though the SRT indicates "CMPLT".

SRT Service Procedure
If a vehicle has failed the state emissions inspection due to one or more SRT items indicating "INCMP", review the flowchart diagnostic sequence.






How to Display SRT Status
WITH CONSULT-III
Selecting "SRT STATUS" in "DTC CONFIRMATION" mode with CONSULT-III.
For items whose SRT codes are set, "CMPLT" is displayed on the CONSULT-III screen; for items whose SRT codes are not set, "INCMP" is displayed.

NOTE:
- Though displayed on the CONSULT-III screen, "HO2S HTR" is not SRT item.
- "SRT STATUS" provides the presence or absence of permanent DTCs stored in ECM memory.
WITH GST
Selecting Service $01 with GST (Generic Scan Tool)
NO TOOLS
A SRT code itself cannot be displayed, however SRT status can.
1. Turn ignition switch ON and wait 20 seconds.
2. SRT status is indicated as shown below.
- When all SRT codes are set, MIL illuminates continuously.
- When any SRT codes are not set, MIL will blink periodically for 10 seconds.






How to Set SRT Code
To set all SRT codes, self-diagnosis for the items indicated above must be performed one or more times. Each diagnosis may require a long period of actual driving under various conditions.
WITH CONSULT-III
Perform corresponding DTC Confirmation Procedure one by one based on Performance Priority in the table on "SRT Item".
WITHOUT CONSULT-III
The most efficient driving pattern in which SRT codes can be properly set is explained below. The driving pattern should be performed one or more times to set all SRT codes.

Driving Pattern





- The time required for each diagnosis varies with road surface conditions, weather, altitude, individual driving habits, etc.
Zone A refers to the range where the time, required for the diagnosis under normal conditions*, is the shortest.
Zone B refers to the range where the diagnosis can still be performed if the diagnosis is not completed within zone A.
*: Normal conditions refer to the following:
- Sea level
- Flat road
- Ambient air temperature: 20 - 30�C (68 - 86�F)
- Diagnosis is performed as quickly as possible under normal conditions.
Under different conditions [For example: ambient air temperature other than 20 - 30�C (68 - 86�F)], diagnosis may also be performed.
Pattern 1:
- The engine is started at the engine coolant temperature of -10 to 35�C (14 to 95�F)
(where the voltage between the ECM terminal 46 and ground is 3.0 - 4.3 V).
- The engine must be operated at idle speed until the engine coolant temperature is greater than 70�C
(158�F) (where the voltage between the ECM terminal 46 and ground is lower than 1.4 V).
- The engine is started at the fuel tank temperature of warmer than 0�C (32�F) (where the voltage between the ECM terminal 95 and ground is less than 4.1 V).
Pattern 2:
- When steady-state driving is performed again even after it is interrupted, each diagnosis can be conducted.
In this case, the time required for diagnosis may be extended.
Pattern 3:





- Operate vehicle following the driving pattern shown in the figure.
- Release the accelerator pedal during deceleration of vehicle speed from 90 km/h (56 MPH) to 0 km/h (0 MPH).
Pattern 4:





- Operate vehicle, following the driving pattern shown in the figure.
- Drive the vehicle in a proper gear at 60 km/h (38 MPH) and maintain the speed.
- Release the accelerator pedal fully at least 5 seconds.
- Repeat the above two steps at least 5 times.
Pattern 5:
- The accelerator pedal must be held very steady during steady-state driving.
- If the accelerator pedal is moved, the test must be conducted again.
*1: Depress the accelerator pedal until vehicle speed is 90 km/h (56 MPH), then release the accelerator pedal and keep it released for more than 10 seconds. Depress the accelerator pedal until vehicle speed is 90 km/h
(56 MPH) again.
*2: Checking the vehicle speed with GST is advised.
Suggested Transmission Gear Position for CVT Models
Set the selector lever position in the D.
Suggested upshift speeds for M/T models
Shown below are suggested vehicle speeds for shifting into a higher gear. These suggestions relate to fuel economy and vehicle performance. Actual upshift speeds will vary according to road conditions, the weather and individual driving habits.





Suggested Maximum Speed in Each Gear
Downshift to a lower gear if the engine is not running smoothly, or if you need to accelerate.
Do not exceed the maximum suggested speed (shown below) in any gear. For level road driving, use the highest gear suggested for that speed. Always observe posted speed limits and drive according to the road conditions to ensure safe operation. Do not over-rev the engine when shifting to a lower gear as it may cause engine damage or loss of vehicle control.






PERMANENT DIAGNOSTIC TROUBLE CODE (PERMANENT DTC)
Permanent DTC is defined in SAE J1979/ISO 15031-5 Service $0A.
ECM stores a DTC issuing a command of turning on MIL as a permanent DTC and keeps storing the DTC as a permanent DTC until ECM judges that there is no presence of malfunction.
Permanent DTCs cannot be erased by using the Erase function of CONSULT-III or Generic Scan Tool (GST) and by disconnecting the battery to shut off power to ECM. This prevents a vehicle from passing the state emission inspection without repairing a malfunctioning part.
When not passing the state emission inspection due to more than one permanent DTC, permanent DTCs should be erased.

NOTE:
- The important items in state emission inspection are that MIL is not ON, SRT test items are set, and permanent DTCs are not included.
- Permanent DTCs do not apply for regions that permanent DTCs are not regulated by law.

Permanent DTC Item
For permanent DTC items, MIL turns ON. Emission-Related Diagnostic Information, "EMISSION-RELATED DIAGNOSTIC INFORMATION ITEMS".

Permanent DTC Set Timing
The setting timing of permanent DTC is stored in ECM with the lighting of MIL when a DTC is confirmed.

Permanent DTC Service Procedure






How to Display Permanent DTC Status

WITH CONSULT-III
1. Turn ignition switch OFF and wait at least 10 seconds.
2. Turn ignition switch ON.
3. Turn ignition switch OFF and wait at least 10 seconds.
4. Turn ignition switch ON.
5. Select "PERMANENT DTC STATUS" in "DTC & SRT CONFIRMATION" mode with CONSULT-III.

NOTE:
Permanent DTCs stored in ECM memory are displayed on the CONSULT-III screen to show if a driving pattern required for erasing permanent DTCs is complete (CMPLT) or incomplete (INCMP).

CAUTION:
Since the "PERMANENT DTC STATUS" screen displays the previous trip information, repeat the following twice to update the information: "Ignition switch OFF", "Wait for more than 10 seconds" and "Ignition switch ON".






WITH GST
1. Turn ignition switch OFF and wait at least 10 seconds.
2. Turn ignition switch ON.
3. Turn ignition switch OFF and wait at least 10 seconds.
4. Turn ignition switch ON.
5. Select Service $0A with GST (Generic Scan Tool).

TEST VALUE AND TEST LIMIT (GST ONLY -- NOT APPLICABLE TO CONSULT-III)
The following is the information specified in Service $06 of SAE J1979/ISO 15031-5.
The test value is a parameter used to determine whether a system/circuit diagnostic test is OK or NG while being monitored by the ECM during self-diagnosis. The test limit is a reference value which is specified as the maximum or minimum value and is compared with the test value being monitored.
These data (test value and test limit) are specified by On Board Monitor ID (OBDMID), Test ID (TID), Unit and
Scaling ID and can be displayed on the GST screen.
The items of the test value and test limit will be displayed with GST screen which items are provided by the ECM. (eg., if bank 2 is not applied on this vehicle, only the items of bank 1 is displayed)































HOW TO ERASE EMISSION-RELATED DIAGNOSTIC INFORMATION

How to Erase DTC
With CONSULT-III

NOTE:
- If the ignition switch stays ON after repair work, be sure to turn ignition switch OFF once.
Wait at least 10 seconds and then turn it ON (engine stopped) again.
- If the DTC is not for CVT related items (see Testing and Inspection), skip step 1.
1. Erase DTC in TCM. Introduction OBD-II Function For CVT System One Or Two Trip Detection Logic Of OBD-II Reading and Clearing Diagnostic Trouble Codes.
2. Select "ENGINE" with CONSULT-III.
3. Select "SELF-DIAG RESULTS".
4. Touch "ERASE". (DTC in ECM will be erased.)
With GST

NOTE:
If the ignition switch stays ON after repair work, be sure to turn ignition switch OFF once. Wait at least 10 seconds and then turn it ON (engine stopped) again.
1. Select Service $04 with GST (Generic Scan Tool).
No Tools

NOTE:
If the ignition switch stays ON after repair work, be sure to turn ignition switch OFF once. Wait at least 10 seconds and then turn it ON (engine stopped) again.
1. Erase DTC in ECM. Refer to How to Erase Diagnostic Test Mode II (Self-diagnostic Results).
- If the battery is disconnected, the emission-related diagnostic information will be lost within 24 hours.
- The following data are cleared when the ECM memory is erased.
- Diagnostic trouble codes
- 1st trip diagnostic trouble codes
- Freeze frame data
- 1st trip freeze frame data
- System readiness test (SRT) codes
- Test values
Actual work procedures are explained using a DTC as an example. Be careful so that not only the DTC, but all of the data listed above, are cleared from the ECM memory during work procedures.

How to Erase Permanent DTC
- When a DTC is stored in ECM and MIL is ON, a permanent DTC is erased with MIL shutoff if the same malfunction is not detected after performing the driving pattern for MIL shutoff three times in a raw.










- The erasing method depends on a permanent DTC stored in ECM. Refer to the following table.






Group A











1. Turn ignition switch OFF and wait at least 10 seconds.
2. Turn ignition switch ON.
3. Turn ignition switch OFF and wait at least 10 seconds.
4. Turn ignition switch ON.
5. Check permanent DTC. Emission-Related Diagnostic Information, "How to Display
Permanent DTC Status".
6. Perform "DTC CONFIRMATION PROCEDURE" for DTCs which are the same as permanent DTCs stored in ECM.
7. Turn ignition switch OFF and wait at least 10 seconds.
8. Turn ignition switch ON.
9. Turn ignition switch OFF and wait at least 10 seconds.
10. Turn ignition switch ON.
11. Check permanent DTC. Emission-Related Diagnostic Information, "How to Display
Permanent DTC Status".
12. Check that the permanent DTCs have been erased.
Group B











NOTE:
- Drive the vehicle according to only driving patterns indicating "INCMP" in driving patterns B and D on the "PERMANENT DTC STATUS" screen.
- When experiencing both driving pattern B and D during the same trip, the experience of driving pattern D is counted by priority.
1. Turn ignition switch OFF and wait at least 10 seconds.
2. Turn ignition switch ON.
3. Turn ignition switch OFF and wait at least 10 seconds.
4. Turn ignition switch ON.
5. Check permanent DTC. Emission-Related Diagnostic Information, "How to Display
Permanent DTC Status".
6. Start engine and warm it up to normal operating temperature.
7. Drive the vehicle according to driving pattern D.

CAUTION:
- Always drive at a safe speed.
- Never erase self-diagnosis results.
- If self-diagnosis results are erased during the trip of driving pattern B or D, the counter of driving pattern B or D is reset.
- If self-diagnosis results are erased during the trip of driving pattern B or D, an experience of driving pattern B and D during the same trip is not counted up.
8. Turn ignition switch OFF and wait at least 10 seconds.
9. Turn ignition switch ON.
10. Turn ignition switch OFF and wait at least 10 seconds.
11. Turn ignition switch ON.
12. Use "PERMANENT DTC WORK SUPPORT" to drive the vehicle according to driving pattern B.

CAUTION:
- Always drive at a safe speed.
- Never erase self-diagnosis results.
- If self-diagnosis results are erased during the trip of driving pattern B or D, the counter of driving pattern B or D is reset.
- If self-diagnosis results are erased during the trip of driving pattern B or D, an experience of driving pattern B and D during the same trip is not counted up.
13. Turn ignition switch OFF and wait at least 10 seconds.
14. Turn ignition switch ON.
15. Turn ignition switch OFF and wait at least 10 seconds.
16. Turn ignition switch ON.
17. Check permanent DTC. Emission-Related Diagnostic Information, "How to Display
Permanent DTC Status".
18. Check that the permanent DTCs have been erased.

DRIVING PATTERN

Driving Pattern B
- Driving pattern B means a trip satisfying the following conditions.
- Engine speed reaches 400 rpm or more.
Water temperature reaches 70�C (158�F) ore more.
-
- Vehicle speed of 70 � 120 km/h (44 � 75 MPH) is maintained for 60 seconds or more under the control of closed loop.
- Vehicle speed of 30 � 60 km/h (19 � 37 MPH) is maintained for 10 seconds or more under the control of closed loop.
- Under the closed loop control condition, the following state reaches 12 seconds or more in total: Vehicle speed of 4 km/h (2 MPH) or less with idling condition.
- The state of driving at 10 km/h (7 MPH) or more reaches 10 minutes or more in total.
- A lapse of 22 minutes or more after engine start.

CAUTION:
Always drive at a safe speed.

NOTE:
- Drive the vehicle at a constant velocity.
- When the same malfunction is detected regardless of driving conditions, reset the counter of driving pattern
B.
- When the above conditions are satisfied without detecting the same malfunction, reset the counter of driving pattern B.

Driving Pattern D
- Driving pattern D means operating vehicle as per the following.
- The state of driving at 40 km/h (25 MPH) reaches 300 seconds or more in total.
- Idle speed lasts 30 seconds or more.
- A lapse of 600 seconds or more after engine start.

CAUTION:
Always drive at a safe speed.

NOTE:
- When the same malfunction is detected regardless of driving conditions, reset the counter of driving pattern D.
- When the above conditions are satisfied without detecting the same malfunction, reset the counter of driving pattern D.