Operation CHARM: Car repair manuals for everyone.
Manuals through 2025 now available!

Our trusted friends have launched a new website named LEMON, which has newer manuals. It also contains all the CHARM manuals.

LEMON is the spiritual successor to CHARM, I recommend you try it!

Link: lemon-manuals.la or lemon-manuals.org.ua

(Some people have issue connecting. LEMON is investigating. For now, use Firefox or change your DNS server)

Or, hide this message: temporarily or permanently

Work Flow




DIAGNOSIS AND REPAIR WORK FLOW

Work Flow


OVERALL SEQUENCE







DETAILED FLOW


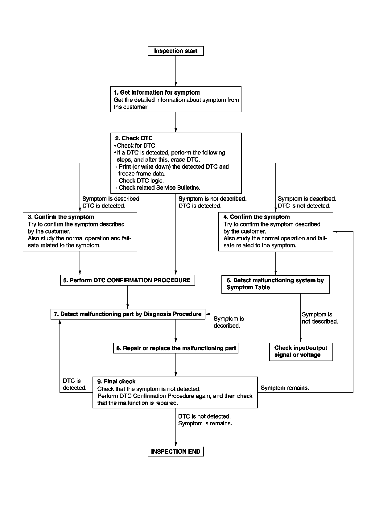
1. GET INFORMATION FOR SYMPTOM

Get the detailed information from the customer about the symptom (the condition and the environment when the incident/malfunction occurred) using the "Diagnostic Work Sheet". (Refer to "Diagnostic Work Sheet" Diagnostic Work Sheet.)
- GO TO 2.

2. CHECK DTC

1.Check DTC.
2.If a DTC is detected, perform the following steps, and after this, erase DTC.
-Print (or write down) the detected DTC and freeze frame data.
-Check DTC logic.
-Check related Service Bulletins.
-Study the relationship between the cause detected by DTC and the symptom described by the customer.
(Symptom Diagnosis is useful. Refer to "Symptom Index" Symptom Index.)
Are any symptoms described and any DTCs detected?
Symptom is described, DTC is detected-GO TO 3.
Symptom is described, DTC is not detected-GO TO 4.
Symptom is not described, DTC is detected-GO TO 5.

3. CONFIRM THE SYMPTOM

Try to confirm the symptom described by the customer.
Also study the normal operation and fail-safe related to the symptom. Refer to "Symptom Index" Symptom Index
and "Fail-Safe" Fail-Safe.
Diagnosis Work Sheet is useful to verify the incident.
Verify relation between the symptom and the condition when the symptom is detected.
- GO TO 5.

4. CONFIRM THE SYMPTOM

Try to confirm the symptom described by the customer.
Also study the normal operation and fail-safe related to the symptom. Refer to "Symptom Index" Symptom Index
and "Fail-Safe" Fail-Safe.
Diagnosis Work Sheet is useful to verify the incident.
Verify relation between the symptom and the condition when the symptom is detected.
- GO TO 6.

5. PERFORM DTC CONFIRMATION PROCEDURE

Perform DTC CONFIRMATION PROCEDURE for the displayed DTC, and then check that DTC is detected again.
If two or more DTCs are detected, refer to "DTC Inspection Priority Chart" VCM and determine trouble diagnosis order.
NOTE:
- Freeze frame data is useful if the DTC is not detected.
- Perform Component Function Check if DTC CONFIRMATION PROCEDURE is not included on Service
Manual. This simplified check procedure is an effective alternative though DTC cannot be detected during this check.
If the result of Component Function Check is NG, it is the same as the detection of DTC by DTC CONFIRMATION PROCEDURE.
Is DTC detected?
YES- GO TO 7.
NO- Check according to "Intermittent Incident" Intermittent Incident.

6. DETECT MALFUNCTIONING SYSTEM BY SYMPTOM TABLE

Detect malfunctioning system according to "Symptom Index" Symptom Index based on the confirmed symptom in step 4, and determine the trouble diagnosis order based on possible causes and symptoms.
Is the symptom described?
YES- GO TO 7.
NO- Monitor input data from related sensors or check voltage of related VCM terminals using CONSULT. Refer to "Reference Value" VCM.

7. DETECT MALFUNCTIONING PART BY DIAGNOSIS PROCEDURE

Inspect according to Diagnosis Procedure of the system.
Is a malfunctioning part detected?
YES- GO TO 8.
NO- Monitor input data from related sensors or check voltage of related VCM terminals using CONSULT. Refer to "Reference Value" VCM.

8. REPAIR OR REPLACE THE MALFUNCTIONING PART

1.Repair or replace the malfunctioning part.
2.Reconnect parts or connectors disconnected during Diagnosis Procedure again after repair and replacement.
3.Check DTC. If DTC is displayed, erase it.
- GO TO 9.

9. FINAL CHECK

When DTC was detected in step 3, perform DTC CONFIRMATION PROCEDURE or Component Function
Check again, and then check that the malfunction have been completely repaired.
When symptom was described from the customer, refer to confirmed symptom in step 4 or 5, and check that the symptom is not detected.
Is DTC detected and does symptom remain?
YES-1- DTC is detected: GO TO 7.
YES-2- Symptom remains: GO TO 4.
NO- Before returning the vehicle to the customer, always erase DTC.