Operation CHARM: Car repair manuals for everyone.
Manuals through 2025 now available!

Our trusted friends have launched a new website named LEMON, which has newer manuals. It also contains all the CHARM manuals.

LEMON is the spiritual successor to CHARM, I recommend you try it!

Link: lemon-manuals.la or lemon-manuals.org.ua

(Some people have issue connecting. LEMON is investigating. For now, use Firefox or change your DNS server)

Or, hide this message: temporarily or permanently

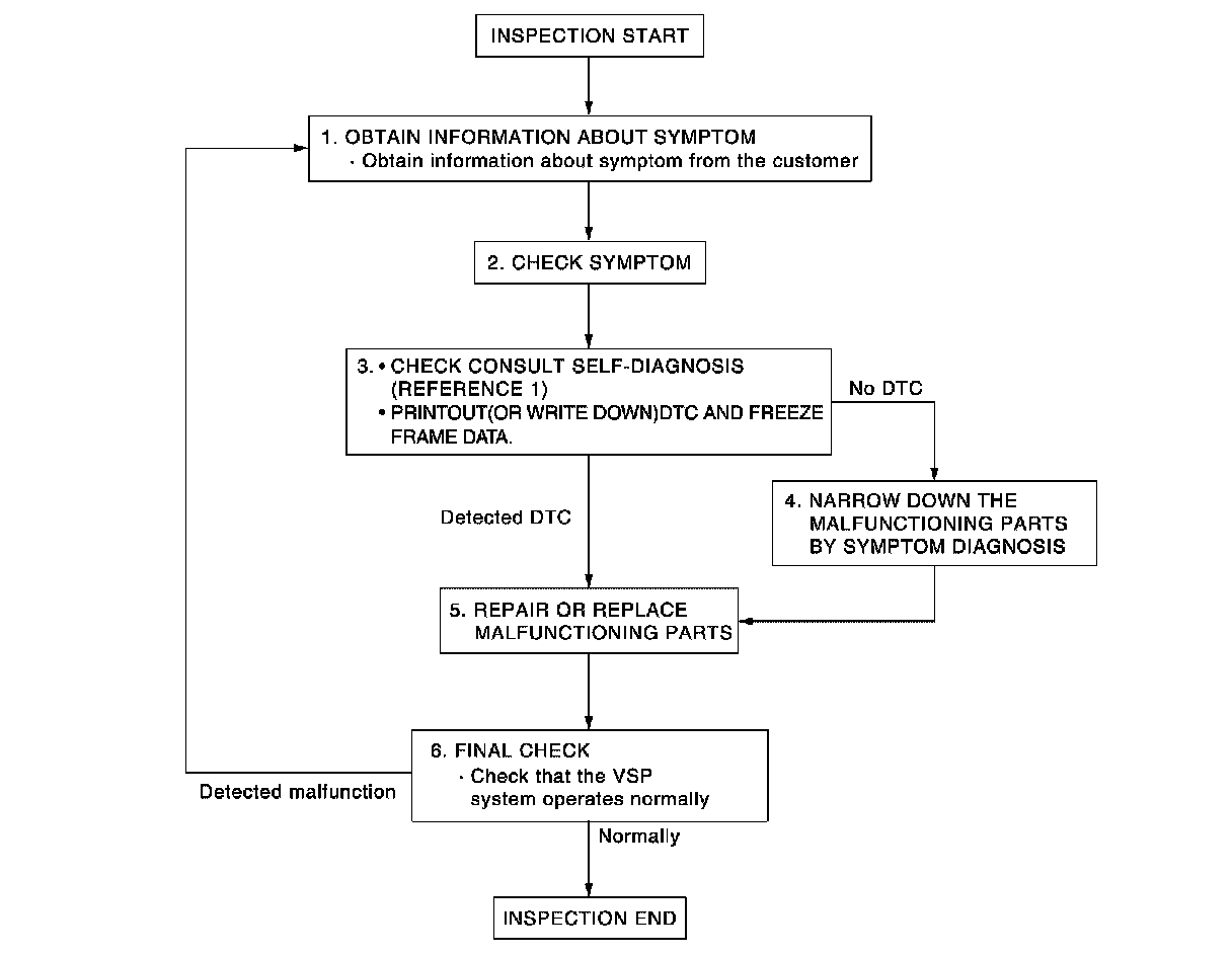
Work Flow




DIAGNOSIS AND REPAIR WORKFLOW

Work Flow


OVERALL SEQUENCE






DETAILED FLOW


1. OBTAIN INFORMATION ABOUT SYMPTOM

Interview the customer to obtain as much information as possible about the conditions and environment under which the malfunction occurred.
- GO TO 2.

2. CHECK SYMPTOM

- Check the symptom based on the information obtained from the customer.
- Check if any other malfunctions are present.
- GO TO 3.

3. CHECK CONSULT SELF-DIAGNOSIS RESULTS

1.Connect CONSULT and perform self-diagnosis
2.When DTC is detected, follow the instructions below:
-Record DTC and Freeze Frame Data.
Are self-diagnosis results normal?
YES- GO TO 5.
NO- GO TO 4.

4. NARROW DOWN MALFUNCTIONING PARTS BY SYMPTOM DIAGNOSIS

Perform symptom diagnosis and narrow down the malfunctioning parts.
- GO TO 5.

5. REPAIR OR REPLACE MALFUNCTIONING PARTS

Repair or replace malfunctioning parts.
NOTE:
If DTC is displayed, erase DTC after repairing or replacing malfunctioning parts.
- GO TO 6.

6. FINAL CHECK

Check that the VSP system operates normally.
Does it operate normally?
YES- INSPECTION END
NO- GO TO 1.