Operation CHARM: Car repair manuals for everyone.
Manuals through 2025 now available!

Our trusted friends have launched a new website named LEMON, which has newer manuals. It also contains all the CHARM manuals.

LEMON is the spiritual successor to CHARM, I recommend you try it!

Link: lemon-manuals.la or lemon-manuals.org.ua

(Some people have issue connecting. LEMON is investigating. For now, use Firefox or change your DNS server)

Or, hide this message: temporarily or permanently

Transmission Position Sensor/Switch: Testing and Inspection

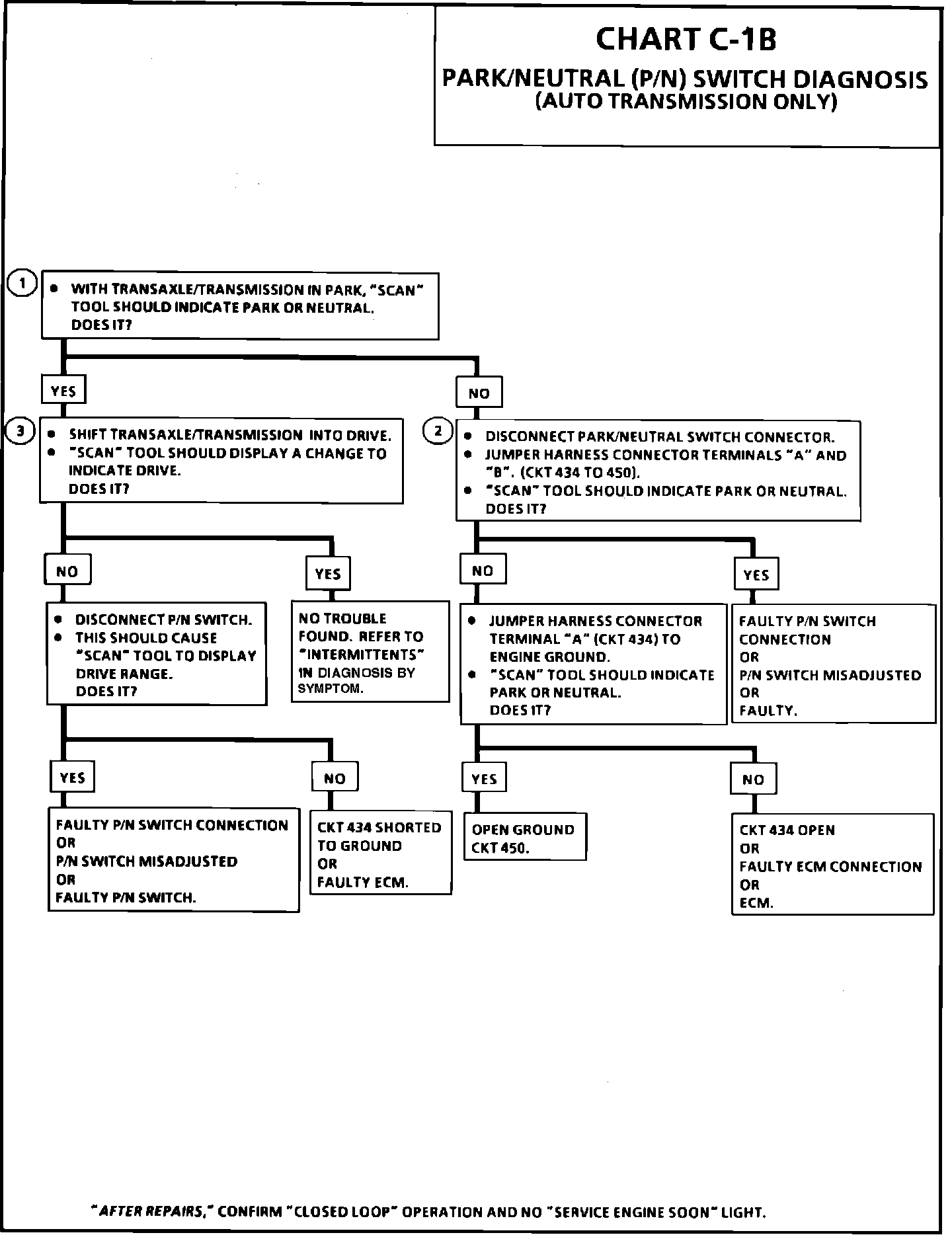
Chart C-1B Park/Neutral Switch Diagnosis:




Wiring Diagram For Chart C-1B Park/Neutral Switch Diagnosis:





PARK/NEUTRAL SWITCH DIAGNOSIS (CHART C-1B)



CIRCUIT DESCRIPTION:

The Park/Neutral Switch contacts are closed to ground in park or neutral and open in drive ranges.

The ECM supplies ignition voltage, through a current limiting resistor, to CKT 434 and senses a closed switch, when the voltage on CKT 434 drops to less than one volt.

The ECM uses the P/N signal as one of the inputs to control:

Idle Air Control
VSS Diagnostics




TEST DESCRIPTION: Numbers below refer to circled numbers on the diagnostic chart.

1. Checks for a closed switch to ground in park position. Different makes of "Scan" tools will read P/N differently. Refer to operators manual for type of display used for a specific tool.

2. Checks for an open switch in drive or reverse range.

3. Be sure "Scan" indicates drive, even while wiggling shifter to test for an intermittent or misadjusted switch in drive range.


DIAGNOSTIC AIDS:

If CKT 434 always indicates drive (open), a drop in the idle may exist when the gear selector is moved into drive range.