Operation CHARM: Car repair manuals for everyone.
Manuals through 2025 now available!

Our trusted friends have launched a new website named LEMON, which has newer manuals. It also contains all the CHARM manuals.

LEMON is the spiritual successor to CHARM, I recommend you try it!

Link: lemon-manuals.la or lemon-manuals.org.ua

(Some people have issue connecting. LEMON is investigating. For now, use Firefox or change your DNS server)

Or, hide this message: temporarily or permanently

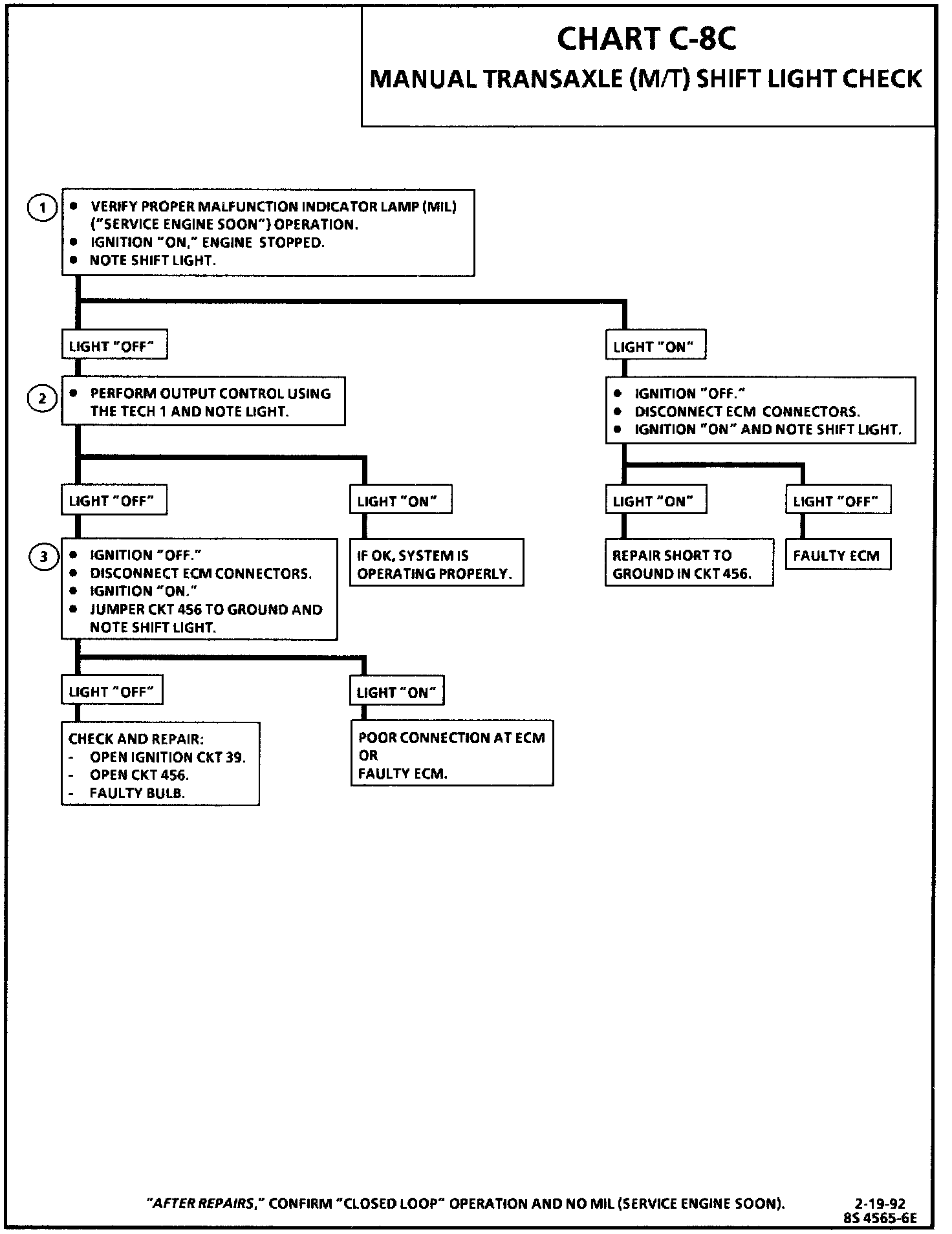
Shift Light: Testing and Inspection

Chart C-8C - Manual Transaxle (M/T) Shift Light Check:




Shift Light Wiring Circuit:





Circuit Description:

The shift light indicates the best transaxle shift point for maximum fuel economy. The light is controlled by the Engine Control Module (ECM) and is turned "ON" by grounding CKT 456.

The Engine Control Module (ECM) uses inputs from various sensors to calculate when the shift light should be turned "ON" as follows:

^ Engine coolant temperature must be above -10°C (14°F).
^ ECM can determine the transaxle has been in a gear for at least 1.2 seconds, by comparison of vehicle speed (from VSS) with engine RPM.
^ TP sensor is between minimum and maximum calibrated values for each gear.
^ RPM is above a calibrated value for each gear (maximum 6500 RPM).

The light will be turned "ON" after a calibrated delay time which is dependent on last gear change or downshift, and will remain "ON" for a maximum of 10 seconds.

Test Description: Number(s) below refer to circled number(s) on the diagnostic chart.

1. This should not turn "ON" the shift light. If the light is "ON," there is a short to ground in CKT 456 wiring or a fault in the ECM.
2. When the diagnostic terminal is grounded, the ECM should ground CKT 456 and the shift light should come "ON."
3. This checks the shift light circuit up to the ECM connector. If the shift light illuminates, then the ECM connector is faulty or the ECM does not have the ability to ground the circuit.

Diagnostic Aids:

Check for DTC 24 (no VSS). Faulty thermostat or incorrect heat range. Incorrect or faulty PROM. A faulty or incorrect VSS may result in a shift light that does not operate.