Operation CHARM: Car repair manuals for everyone.
Manuals through 2025 now available!

Our trusted friends have launched a new website named LEMON, which has newer manuals. It also contains all the CHARM manuals.

LEMON is the spiritual successor to CHARM, I recommend you try it!

Link: lemon-manuals.la or lemon-manuals.org.ua

(Some people have issue connecting. LEMON is investigating. For now, use Firefox or change your DNS server)

Or, hide this message: temporarily or permanently

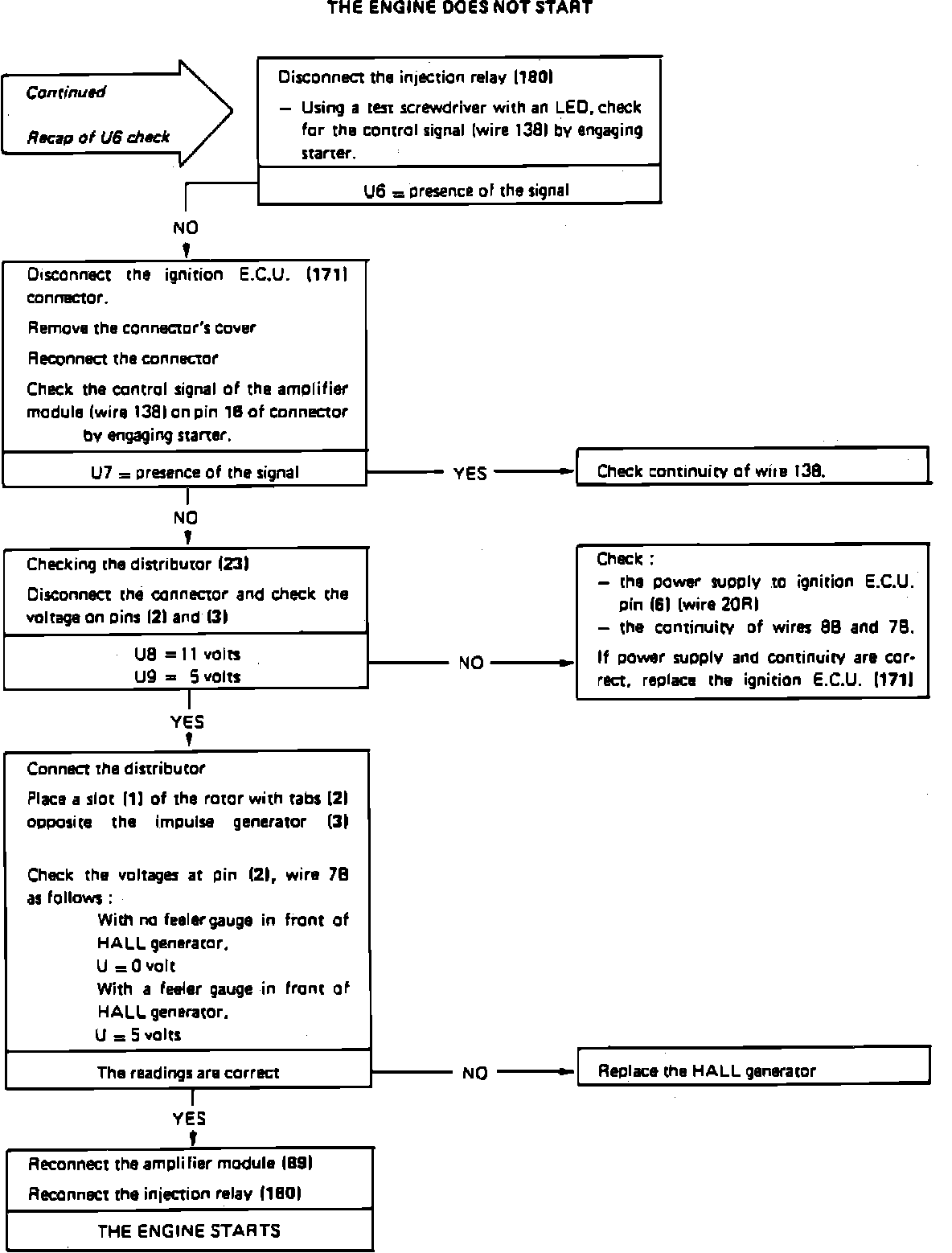
Ignition System: Testing and Inspection

Fig. 1 Troubleshooting (Part 1 of 3):




Fig. 1 Troubleshooting (Part 2 Of 3):




Fig. 1 Troubleshooting (Part 3 Of 3):







Refer to troubleshooting charts, Figs. 1a, 1b, & 1c and 2, and ELECTRICAL AND ELECTRONIC DIAGRAMS for ignition system wiring circuits.