Operation CHARM: Car repair manuals for everyone.
Manuals through 2025 now available!

Our trusted friends have launched a new website named LEMON, which has newer manuals. It also contains all the CHARM manuals.

LEMON is the spiritual successor to CHARM, I recommend you try it!

Link: lemon-manuals.la or lemon-manuals.org.ua

(Some people have issue connecting. LEMON is investigating. For now, use Firefox or change your DNS server)

Or, hide this message: temporarily or permanently

Entire Vehicle - General




Engine







Engine type




Engine cooling




Motor lubrication




Fuel system




Fuel consumption as per 93/116/EG




Emission control




Electrical system


Power transmission




Clutch




Manual transmission




Tiptronic


Running gear




Front axle




Steering




Rear axle




Wheel alignment, front axle




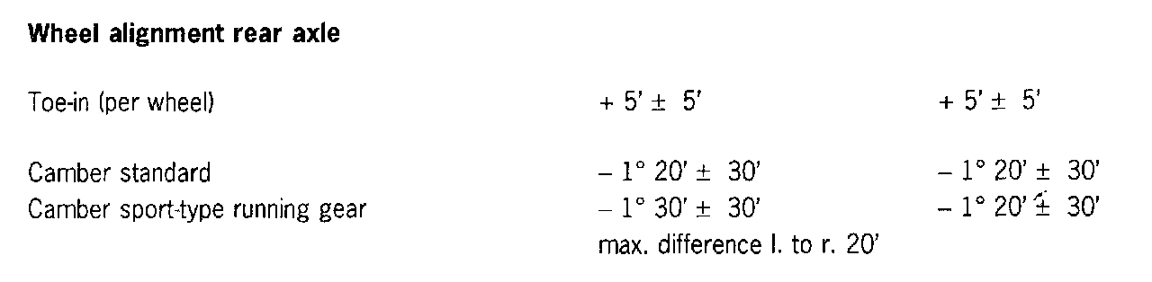
Wheel alignment, rear axle







Brake system







Wheels and tyres


Measures




Dimensions and weights




Empty weight as per DIN 700 20




Filling capacities




Driving performance