Operation CHARM: Car repair manuals for everyone.
Manuals through 2025 now available!

Our trusted friends have launched a new website named LEMON, which has newer manuals. It also contains all the CHARM manuals.

LEMON is the spiritual successor to CHARM, I recommend you try it!

Link: lemon-manuals.la or lemon-manuals.org.ua

(Some people have issue connecting. LEMON is investigating. For now, use Firefox or change your DNS server)

Or, hide this message: temporarily or permanently

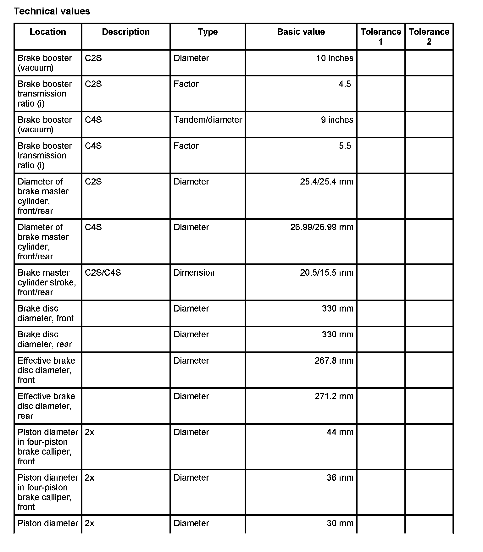
System Specifications



Technical data/Brake wear limit - 911 Carrera up to MY 2008




















Technical data/Brake wear limit

Technical data - C2S/C4S

Operating brake (foot brake):

^ Dual-circuit brake system with brake-circuit division per axle.
^ Internally ventilated and perforated grey cast iron brake discs on front and rear axle.
^ Four-piston monobloc caliper on front and rear axle.
^ The brake calipers are painted red for visual differentiation.
^ Standard Porsche Stability Management (PSM 8.0).





Test values/wear limits - C2S/C4S

Information
Depending on the wear of cast iron brake discs, two condition criteria can make replacement necessary:

^ Cracking in the holed (perforated) brake disc friction plates is in an advanced state.
^ Minimum brake disc thickness is not retained due to wear (material erosion due to friction).








Information on machining cast-iron brake discs

Possible complaints

^ Damage due to lack of use (rusting). This causes vibrations in the steering wheel, noises and brake pedal pulsation.
^ Brake disc becomes distorted as a result of serious driving, e.g. on a racing circuit.
^ Too much lateral runout when new brake discs are fitted on dirty or distorted wheel hubs.

Procedure

^ Check brake disc for cracks, minimum thickness, lateral runout, thickness tolerance, flatness and surface roughness.
^ If necessary, (depending on the actual brake disc thickness and the brake disc wear limit) machine the brake disc using one of the disc brake dressing machines approved by Porsche.
^ The brake disc must only be reworked symmetrically, i.e. equally from both sides! Observe the operating instructions for the disc brake dressing machine!

Technical data for C2/C2S and C4/C4S - PCCB brakes (option)

Operating brake (foot brake):

^ Dual-circuit brake system with brake-circuit division per axle.
^ Internally ventilated and perforated PCCB brake discs on front and rear axle.
^ Six-piston monobloc caliper on front axle and four-piston monobloc caliper on rear axle.
^ The brake calipers are painted yellow for visual differentiation.
^ Standard Porsche Stability Management (PSM 8.0).





Test values/wear limits for C2/C2S and C4/C4S - PCCB brakes (option)

Information
The following condition criteria can make replacement necessary depending on the wear of the PCCB brake discs:

^ Surface changes in the brake disc friction surfaces at an advanced stage.
^ Minimum brake disc thickness is not retained due to wear (material erosion due to friction).