Operation CHARM: Car repair manuals for everyone.
Manuals through 2025 now available!

Our trusted friends have launched a new website named LEMON, which has newer manuals. It also contains all the CHARM manuals.

LEMON is the spiritual successor to CHARM, I recommend you try it!

Link: lemon-manuals.la or lemon-manuals.org.ua

(Some people have issue connecting. LEMON is investigating. For now, use Firefox or change your DNS server)

Or, hide this message: temporarily or permanently

Ignition Failure Sensor: Description and Operation



Misfire Monitoring

General Description
This method enables the detection of misfire by evaluating engine speed fluctuations of the crankshaft.

The misfire detection system consists of various sub function, which together guarantee a complete detection of all misfires. Common to all methods is the evaluation of segment durations, which are corrected by means of an adaptation. The misfire detected by each of the individual methods are logically OR the together and then further processed in the fault code management system. The fault code management system determines, among others, when the MIL is to be triggered

Segment Time Formation
The heart of this strategy is the exact determination of engine speed. This is performed by the Motronic by scanning a 60x2-teeth gear by means of an inductive sensor. The inductive sensor's signal is processed by the Motronic and used for the formation of angle segments. The period which elapses until the angle segment travels past the inductive sensor will be referred to as the segment time. Its length corresponds to the interval between two ignitions.

Correction of the Segment
Time The adaptation during fuel cut off (fuel-off adaptation) and during firing operation (fuel-on adaptation) learns the systematic differences of the segment times dependant upon the individual cylinder's characteristics. The correction values are included in the processing such that after adaptation the resulting segment times are identical (apart from the stochastic signal-to-noise ratio in steady-state).

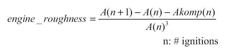
Formation of the Engine Roughness Test Value
The engine roughness (angular acceleration change) for each combustion is calculated from several temporary and consecutive segment times as follows:







An example of continuous misfire in a single cylinder is shown. Engine roughness is compared to a specific load / speed dependant threshold. If the threshold is exceeded misfire is detected.

Misfire Detection by Means of Filtered Engine Roughness
This function allows detection of continuous misfire in one or more cylinders. For this the cylinder-specific engine roughness values are filtered by means of recursive low pass filters and compared to an accompanying threshold / reference value.

The specific threshold value is calculated from a load and engine speed dependent offset value, which are added to the lowest filtered engine roughness value per working cycle.

Misfire Detection by Means of Engine Roughness Minus Engine Roughness 360° Crankshaft Later
This function allows the detection of random and continuous misfires, as well as nonsymmetrical multiple misfires.

The detection performance is independent of sensor wheel inaccuracies (crankshaft-synchronous segment time fluctuations). However, symmetrical multiple misfires which can also generate crankshaft-synchronous segment time fluctuations cannot be detected. A calculated value is compared to a load and speed dependant threshold. If this threshold is exceeded misfire is detected.

Fault Handling of Misfire Statistics
Each combustion, apart from those intentionally deactivated, must be checked for misfire since misfire can be distributed randomly. However, a reaction will only take place if a certain misfire frequency is given. The different effects of the combustion misses, such as increase in exhaust emissions, and catalyst damage, are evaluated separately.

During the fault setting a distinction is made on whether it is an exhaust gas relevant fault (after start or during a driving cycle) or a catalyst damaging fault. Also, an identification of the misfiring cylinder is conducted. With catalyst damaging misfires it is possible to switch off the injector of the affected cylinder to protect the catalyst (up to a maximum of two cylinders). If more than one cylinder misses, then in addition to the cylinder specific fault entry, an additional entry for "multiple misfiring" is set.

Deactivation of the Misfire Detection
Despite the previously mentioned correction and adaptation methods, certain operating states exist for which deactivation of misfire detection is necessary to avoid a misdetection.

In case of rough road detection, misfire detection must be deactivated. While driving on an extremely rough road surface, drive train vibrations can cause engine speed variations, which would lead to improper misfire detection. Additionally, engine start leads to unsteady crankshaft revolutions at low rpm that can be improperly diagnosed as a cylinder misfire. Therefore, misfire monitoring is enabled within 1 camshaft revolution after engine speed reaches 150 rpm below warmed up idle speed.

Diagnosis of Misfire - Overview







Diagnosis of Misfire Extended Adaptation







Diagnosis of Misfire (Luts Method)







Diagnosis of Misfire-Measure with Continuous Misfire







Diagnosis of Misfire-Filtered Engine Roughness







Diagnosis of Misfire-Engine Roughness Between 360° CS







Diagnosis of Misfire-Fault Code Management







Diagnosis of Misfire-Fault Handling of Misfire







The limit value for catalyst temperature is 1050 °C. The test procedure as required in CCR 1968.2, section 3.2.1 (D) are fulfilled.