Operation CHARM: Car repair manuals for everyone.
Manuals through 2025 now available!

Our trusted friends have launched a new website named LEMON, which has newer manuals. It also contains all the CHARM manuals.

LEMON is the spiritual successor to CHARM, I recommend you try it!

Link: lemon-manuals.la or lemon-manuals.org.ua

(Some people have issue connecting. LEMON is investigating. For now, use Firefox or change your DNS server)

Or, hide this message: temporarily or permanently

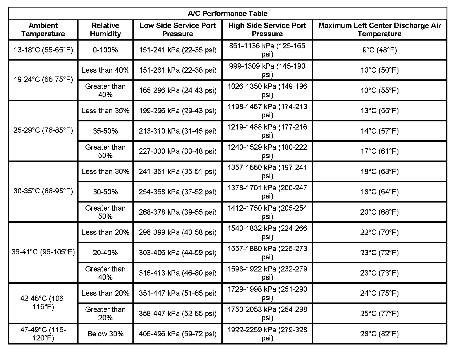
Air Conditioning (A/C) System Performance Test



Air Conditioning (A/C) System Performance Test (L61)

This test measures the operating efficiency of the A/C system under the following conditions:

* The current ambient air temperature
* The current relative humidity
* The high side pressure of the A/C system
* The low side pressure of the A/C system
* The temperature of the air being discharged into the passenger compartment

Test Description

Step 1:




Step 2 - Step 6:




Step 7 - Step 8:




The numbers below refer to the step numbers on the diagnostic table.
1. This step determines if the A/C system has at least the minimum refrigerant charge required to operate the system without damage.
2. This step measures the performance of the A/C system.
3. This step is to allow for vehicle variations as well as high ambient temperatures.


A/C System Pressure - Zone Classification