Operation CHARM: Car repair manuals for everyone.
Manuals through 2025 now available!

Our trusted friends have launched a new website named LEMON, which has newer manuals. It also contains all the CHARM manuals.

LEMON is the spiritual successor to CHARM, I recommend you try it!

Link: lemon-manuals.la or lemon-manuals.org.ua

(Some people have issue connecting. LEMON is investigating. For now, use Firefox or change your DNS server)

Or, hide this message: temporarily or permanently

Service Manual Corrections

NUMBER: 18-29-96

DATE: 07-17-96

APPLICABILITY
1995 AND 1996 LEGACY SERVICE MANUALS

SUBJECT
SERVICE MANUAL CORRECTIONS





Please replace the pages of the service manuals and service manual supplements using the chart.








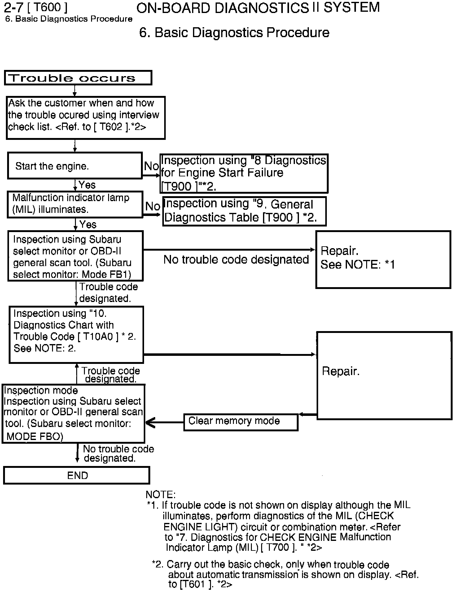
On-Board Diagnostics II System [T3C2] 2-7








Special Tools 1-6








AWD System 3-4





On-Board Diagnostics II System [T3C6] 2-7





On-Board Diagnostics II System [T3C7] 2-7





On-Board Diagnostics II System [T503] 2-7





On-Board Diagnostics II System [T600] 2-7





On-Board Diagnostics II System [T8C2] 2-7





On-Board Diagnostics II System [T8C3] 2-7





On-Board Diagnostics II System [T8D3] 2-7





On-Board Diagnostics II System [T8D4] 2-7





On-Board Diagnostics II System [T8D6] 2-7





On-Board Diagnostics II System [T8D7] 2-7





On-Board Diagnostics II System [T10D2] 2-7





On-Board Diagnostics II System [T10D3] 2-7





On-Board Diagnostics II System [T10M0] 2-7





On-Board Diagnostics II System [T10M1] 2-7





On-Board Diagnostics II System [T10T3] 2-7





On-Board Diagnostics II System [T10T4] 2-7





On-Board Diagnostics II System [T10AH5] 2-7





On-Board Diagnostics II System [T10AI0] 2-7





On-Board Diagnostics II System [T10AI2] 2-7





On-Board Diagnostics II System [T10AJ0] 2-7





On-Board Diagnostics II System [T10AV0] 2-7





On-Board Diagnostics II System [T10AU5] 2-7





On-Board Diagnostics II System [T10BS2] 2-7





On-Board Diagnostics II System [T10BS3] 2-7





On-Board Diagnostics II System [T10BX1] 2-7