Manuals through 2025 now available!
Our trusted friends have launched a new website named LEMON, which has newer manuals. It also contains all the CHARM manuals.
LEMON is the spiritual successor to CHARM, I recommend you try it!
Link:
lemon-manuals.la or
lemon-manuals.org.ua
(Some people have issue connecting. LEMON is investigating. For now, use Firefox or change your DNS server)
Or, hide this message:
temporarily or
permanently
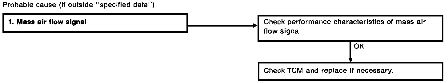
Mode F15, Mass Air Flow Signal
MODE F15 MASS AIR FLOW SIGNAL (AFM) Condition -
Ignition switch "ON" (Engine "ON")
-
"N" range.
-
Idling.
Specified Data Engine warm-up: 0.55 ± 0.25 Volts.